EasyManua.ls Logo

SCS LABCOTER 2 - Page 25

SCS LABCOTER 2
153 pages
Print Icon
To Next Page IconTo Next Page
To Next Page IconTo Next Page
To Previous Page IconTo Previous Page
To Previous Page IconTo Previous Page
Loading...
OM-610-1002-1 Operator’s Manual Rev 37
PDS-2010 SECTION 5 OPERATION page 17
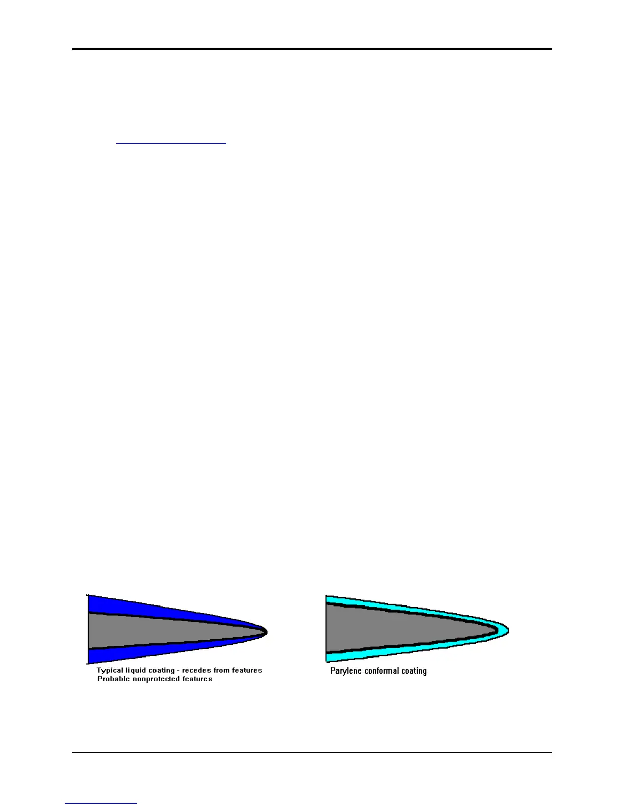
polymer film. Unlike liquid coatings, Parylene is deposited in equal thickness on all surfaces, including
around sharp edges and in deep crevices.
Parylene has three primary variations—C, N, and D. The equipment settings and final product properties
differ slightly for each variation. Detailed information on the properties is available upon request or at our
web site, www.scscoatings.com
.
Parylene is formed (deposited) in place directly from a rarefied atmosphere of gaseous monomer. There is no
intermediate liquid phase and no “cure” cycle. The deposition and formation of Parylene on a substrate can
be viewed as a condensation process taking place in a room-temperature vacuum chamber.
Parylene N is the basic member of the series. Parylene N is poly-P-xylylene, a completely linear, highly
crystalline material. Parylene N molecules are extremely elastic and will "bounce" around many times before
depositing and polymerizing. This results in greater penetration into small openings than other types of
Parylene. The expected increase of pressure in the deposition chamber during a coating run is controlled at a
higher pressure than the other Parylenes. Parylene N deposits at a rate of approximately .00003" per hour, a
much slower rate than Parylene C or D.
Parylene C is commercially available and is produced from the same monomer modified only by the
substitution of a chlorine atom for one of the aromatic hydrogens. Parylene C molecules are less elastic than N
molecules and "bounce" around considerably less than N. The pressure in the Deposition Chamber due to
Parylene C monomer is controlled at a value of approximately one half that for Parylene N. Deposition rates
for Parylene C are in the order of .0002" per hour.
Parylene D is commercially available and is produced from the same monomer modified by the substitution
of two chlorine atoms for two of the aromatic hydrogens. Parylene D molecules are not very elastic. They will
deposit and polymerize very quickly upon entering the deposition chamber. The associated pressure rise
during deposition is quite low. If the use of Parylene D is required for your application, contact SCS
Engineering for special process considerations involved with its use in the 2010.
Figure 3: Liquid versus Parylene Coating

Table of Contents