EasyManua.ls Logo

Sequential TAKE 5 - Page 37

Sequential TAKE 5
119 pages
Print Icon
To Next Page IconTo Next Page
To Next Page IconTo Next Page
To Previous Page IconTo Previous Page
To Previous Page IconTo Previous Page
Loading...
28 About the Amp Envelope
Sequential
ENV ROUTING
ENV 2
ENV 1
Filter+Gate
Filter+Amp
Filter
Amp
Aux
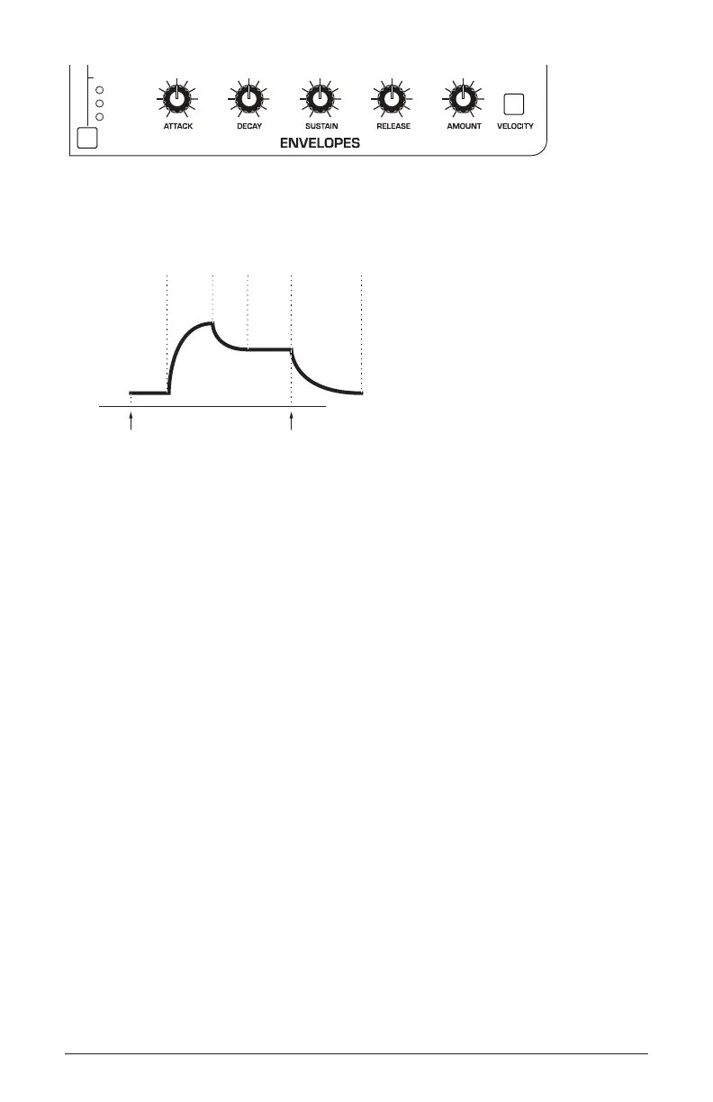
Envelope 2 parameters
attack
decay
sustain
release
amplitude
time
note offnote on
delay
A typical 5-stage, DADSR envelope
As noted previously, the Amplier Envelope works in conjunction
with the Filter Envelope, with the Filter Envelope controlling how
the lter opens and closes and the Amplier Envelope controlling
how the Amplier controls the overall volume shape of the sounds
you create.
To hear the effect of the Amplier Envelope:
1. Recall the Basic Program by pressing the global button and using the
select knob to navigate to the basic program command, then press write.
2. Repeatedly strike a note on the keyboard as you turn the Amplier
Envelope’s attack knob clockwise. Notice how the attack becomes
slower and more gradual the further you turn the knob.
3. Reset the attack parameter to zero (fully counter-clockwise).
4. Next, repeatedly strike a note on the keyboard as you turn the Ampli-
er Envelope’s sustain to zero. Notice how it changes the sound so that
the sound no longer sustains even if you hold down the key. The only
sound you hear is the decay portion of the sound.
5. Now, with sustain still set to zero, repeatedly strike a note on the
keyboard as you turn the Amplier Envelope’s decay knob clockwise
and counterclockwise. Notice how it changes the sound as the note
decays faster or slower after its initial attack stage.

Table of Contents

Related product manuals