EasyManua.ls Logo

SICK LD-LRS - Minimum Object Size

SICK LD-LRS
46 pages
Print Icon
To Next Page IconTo Next Page
To Next Page IconTo Next Page
To Previous Page IconTo Previous Page
To Previous Page IconTo Previous Page
Loading...
4500
Size
[
m
m]
Distance [m]
Beam diameter
Beam diameter
Measuring point distance
0
0
50
100
150
200
250
4000
500
1,0°
0,5°
0,25°
0,125°
3000
2000
1000
1
2
3
4
2
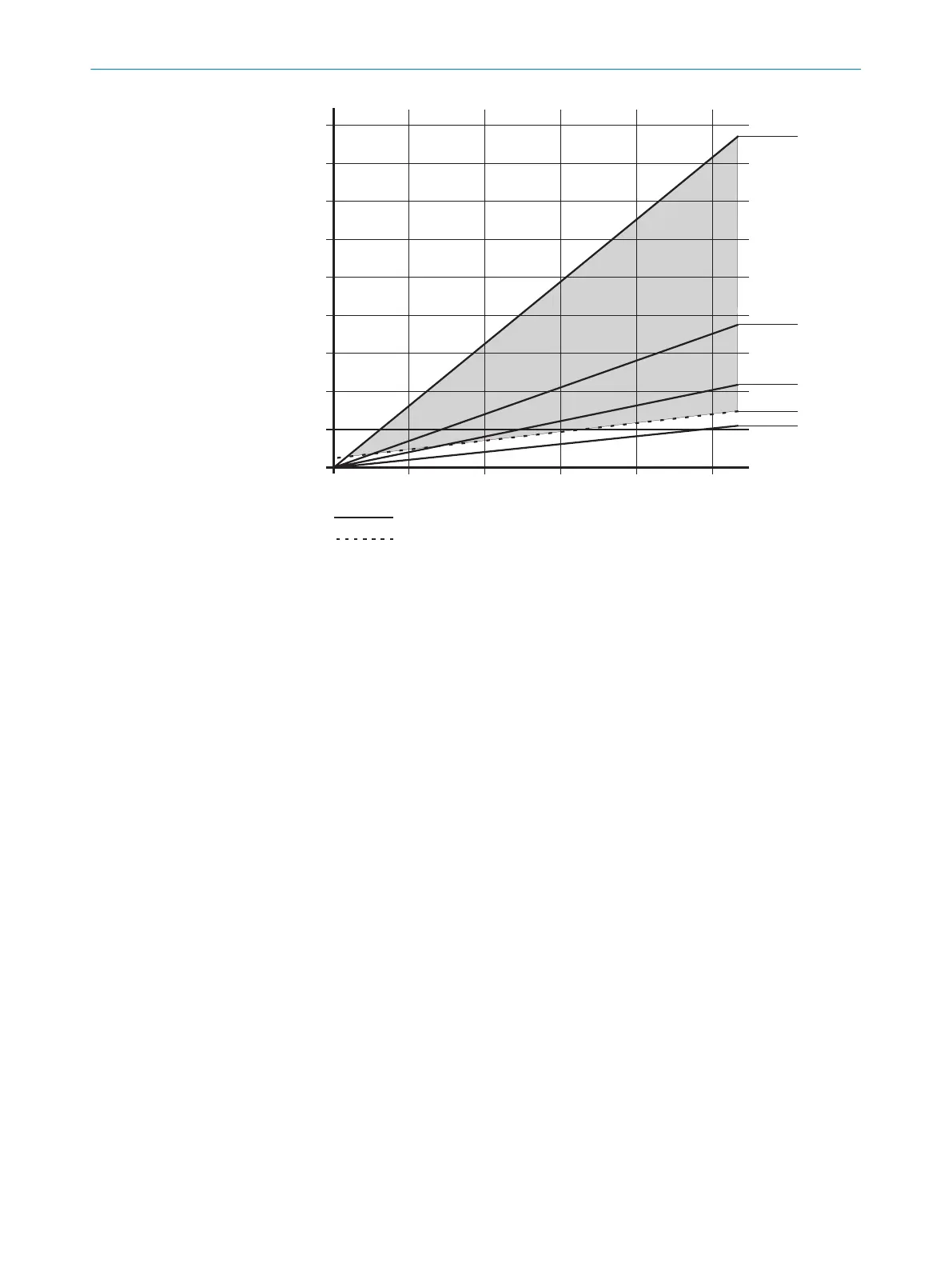
Figure 10: Beam diameter and measuring point distance at 0 to 250m
1
Size [mm]
2
Beam diameter
3
Distance [m]
4
Measuring point distance
Reading example for an angular resolution of 0.50° in figure 10
150m distance
For a distance intersection point at 150m, the measuring point distance is
approx. 1,100mm
For a distance intersection point at 150m and based on the characteristic curve
for beam diameter, the beam expansion is approx. 450mm
Result: Gaps of approx. 650mm during scanning, minimum object size >650mm
3.4.6 Minimum object size
For an object to be detected reliably, it must be hit completely by a laser beam once. If
the beam only partially hits, less energy may be reflected from the object see "Principle
of operation", page 11.
An object is then reliably hit completely at any time if it is at least as large as the
measuring point distance plus the beam diameter.
3 PRODUCT DESCRIPTION
16
O P E R A T I N G I N S T R U C T I O N S | LD-LRS 8016506/1G07/2020-11-08 | SICK
Subject to change without notice

Table of Contents

Related product manuals