EasyManua.ls Logo

SICK LD-LRS - Page 15

SICK LD-LRS
46 pages
Print Icon
To Next Page IconTo Next Page
To Next Page IconTo Next Page
To Previous Page IconTo Previous Page
To Previous Page IconTo Previous Page
Loading...
1400
Size
[
m
m]
Distance [m]
Beam diameter
80
Beam diameter
Measuring point distance
0
0
10
20
30
40
50
60
70
1000
100
500
1,0°
0,5°
0,25°
0,125°
2
4
1
2
3
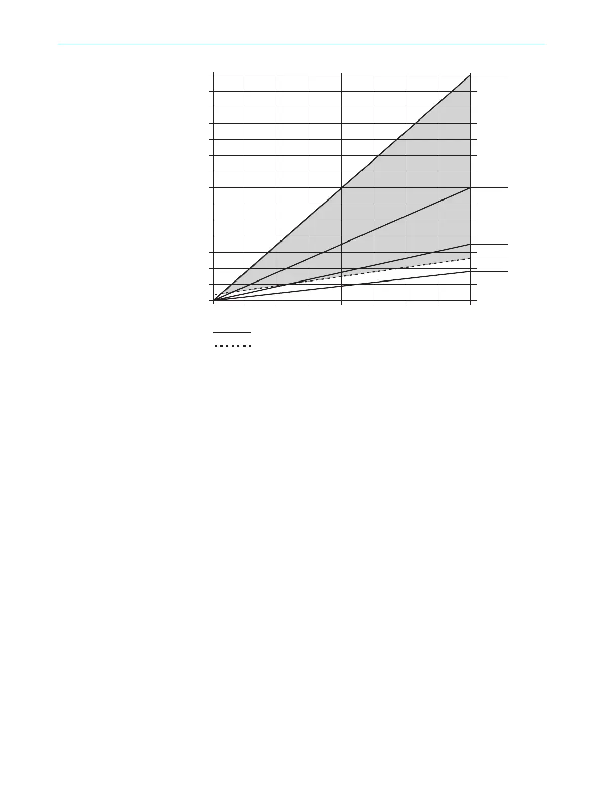
Figure 9: Beam diameter and measuring point distance at 0 to 80m
1
Size [mm]
2
Beam diameter
3
Distance [m]
4
Measuring point distance
Reading example for an angular resolution of 0.125° in figure 9
60m distance
A distance intersection point of 60m results in a measuring point distance of
approx. 130mm
For a distance intersection point at 60m and based on the characteristic curve for
beam diameter, the beam expansion is approx. 200mm
Result: No gaps in the scan
PRODUCT DESCRIPTION
3
8016506/1G07/2020-11-08 | SICK O P E R A T I N G I N S T R U C T I O N S | LD-LRS
15
Subject to change without notice

Table of Contents

Related product manuals