EasyManua.ls Logo

Sirona S2 - Page 77

Sirona S2
Print Icon
To Next Page IconTo Next Page
To Next Page IconTo Next Page
To Previous Page IconTo Previous Page
To Previous Page IconTo Previous Page
Loading...
Sirona Dental Systems GmbH 10 Instrument Functions
41 63 189 D 3311
D 3311.201.01.10.02
27
IRKPMWL
Further WARNING NOTES for
working with the surgical unit
The patient should not come into
contact with metallic parts which are
grounded or have substancial
capacitance to ground
(e. g. operating table, holders).
The power output should be set to the
lowest possible value for the relevant
purpose.
If the surgical unit appears to deliver litt-
le power or does not work properly on
normal setting, this can be caused by a
poor contact in the feed cable.
Combustible substances, which are
used for instance as cleaning
or disinfecting agents, should be
evaporated before applying surgery.
Cottonwool can be ignited.
Endogenous gases can be ignited.
The RF can impair the function of other
electronic devices.
Test the electrode cable regularly for
possible damage to the insulation.
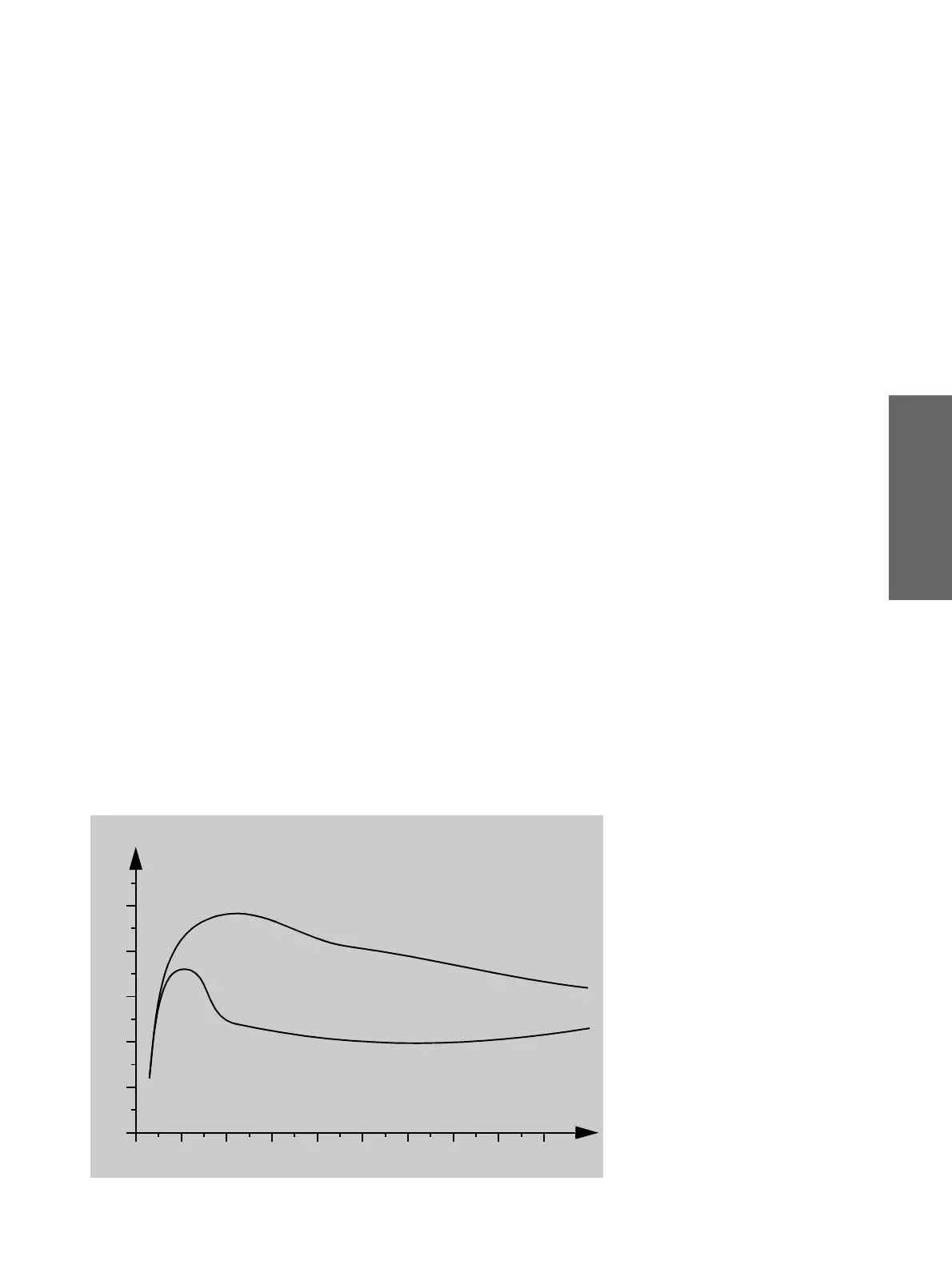
Technical Description
SIROTOM electrosurgery
Power Characteristic
for cutting and coagulation
Power measured between handpiece and
protective ground wire
10
20
30
40
50
Watt
500 1000
2000
1500 Ohm
Intensity=50
Intensity=100

Table of Contents

Related product manuals