EasyManua.ls Logo

Spohn & Burkhardt VCS0 - Joystick VCS0 - Schaltspiele

Spohn & Burkhardt VCS0
Print Icon
To Next Page IconTo Next Page
To Next Page IconTo Next Page
To Previous Page IconTo Previous Page
To Previous Page IconTo Previous Page
Loading...
12
Spohn + Burkhardt
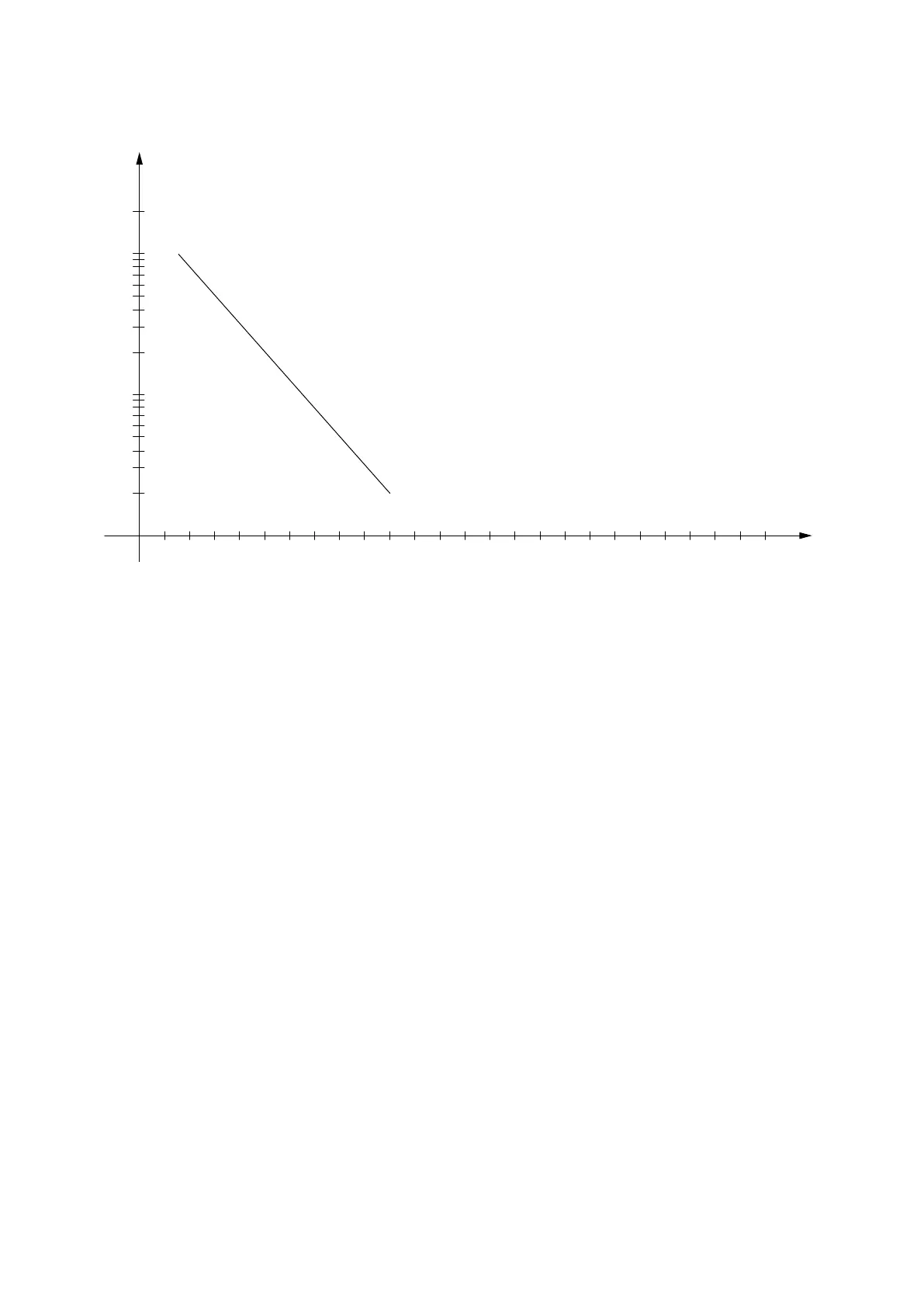
4.4.4. Joystick VCS0 – Schaltspiele
Abbildung 4.
Schaltspiele
im Mio.
20
10
5
3
2
1
0,5
0,3
0,2
0,1
0
5 10 15 20
VCS0
25
Strom in A
Schaltstück – Lebensdauer mit AG-Kontakten AC 24 V
(ohmsche Last AC 230 V
Joystick VCS0 … – Schaltspiele in Mio.

Table of Contents