EasyManua.ls Logo

Spohn & Burkhardt VCS0 - Joystick VCS0 - Switching Cycles

Spohn & Burkhardt VCS0
Print Icon
To Next Page IconTo Next Page
To Next Page IconTo Next Page
To Previous Page IconTo Previous Page
To Previous Page IconTo Previous Page
Loading...
60
Spohn + Burkhardt
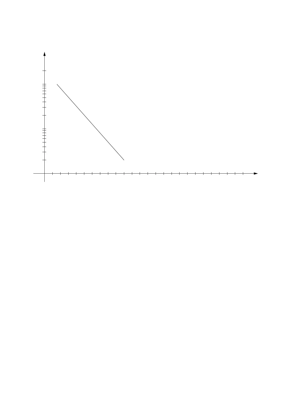
4.4.4. Joystick VCS0 – switching cycles
Figure 4.
Switching cycles
in millions
20
10
5
3
2
1
0,5
0,3
0,2
0,1
0
5 10 15 20
VCS0
25
Current in A
Contact – service life with AG contacts AC 24 V
(ohmic load AC 230 V)
Joystick VCS0 … – switching cycles in millions

Table of Contents