EasyManua.ls Logo

Subaru impreza 2017 - Clock; Features; Multi-Function Display (Color LCD) (if Equipped)

Subaru impreza 2017
786 pages
Print Icon
To Next Page IconTo Next Page
To Next Page IconTo Next Page
To Previous Page IconTo Previous Page
To Previous Page IconTo Previous Page
Loading...
IEC05000016-2-en.vsd
Voltage
IDMT Voltage
Time
UL1
UL2
UL3
IEC05000016 V2 EN-US
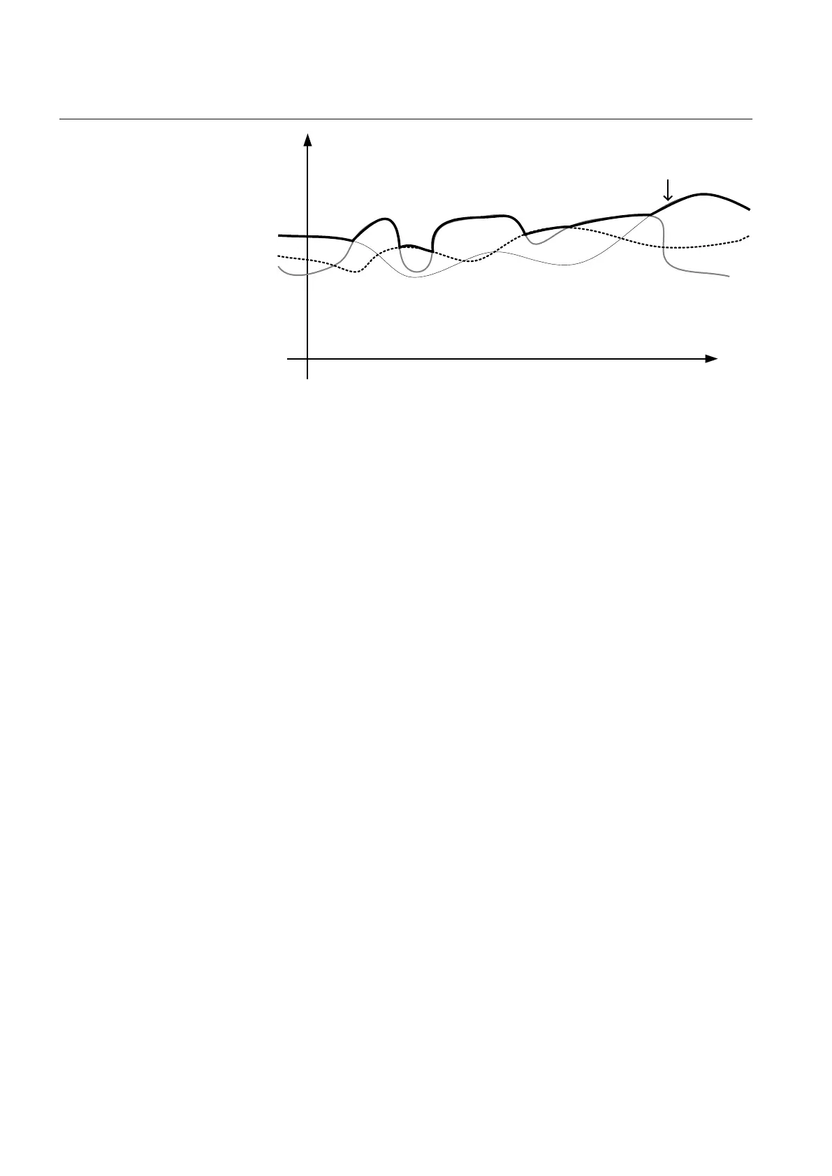
Figure 74: Voltage used for the inverse time characteristic integration
Operation of the trip signal requires that the overvoltage condition continues for at
least the user set time delay. This time delay is set by the parameter t1 and t2 for
definite time mode (DT) and by selected voltage level dependent time curves for
the inverse time mode (IDMT). If the START condition, with respect to the
measured voltage ceases during the delay time, and is not fulfilled again within a
user defined reset time (tReset1 and tReset2 for the definite time and tIReset1 and
tIReset2 for the inverse time) the corresponding START output is reset, after that
the defined reset time has elapsed. Here it should be noted that after leaving the
hysteresis area, the START condition must be fulfilled again and it is not sufficient
for the signal to only return back to the hysteresis area. The hysteresis value for
each step is settable HystAbsn (where n means either 1 or 2 respectively) to allow a
high and accurate reset of the function. For OV2PTOV the IDMT reset time is
constant and does not depend on the voltage fluctuations during the drop-off
period. However, there are three ways to reset the timer: either the timer is reset
instantaneously, or the timer value is frozen during the reset time, or the timer
value is linearly decreased during the reset time.
Section 7 1MRK 505 384-UEN A
Voltage protection
184 Breaker protection REQ650 2.2 IEC
Technical manual

Table of Contents

Other manuals for Subaru impreza 2017

Related product manuals