EasyManua.ls Logo

Valmet OC2R - Calibration Procedures; Calibration Principles and Requirements

Default Icon
49 pages
Print Icon
To Next Page IconTo Next Page
To Next Page IconTo Next Page
To Previous Page IconTo Previous Page
To Previous Page IconTo Previous Page
Loading...
10 Calibration
10.1 Principle of calibration
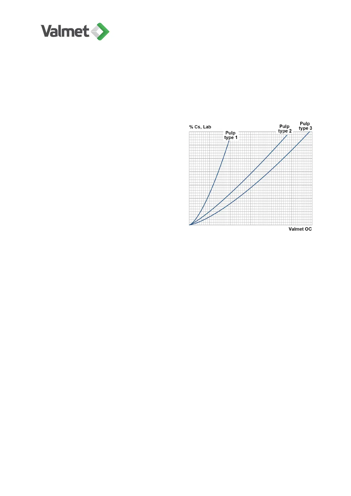
The graph on the right illustrates the prin-
ciple of calibration. It shows that the rela-
tionship between consistency and sensor
measurement signal is not linear, and it is
also different for different pulp types.
Calibration curves determined experi-
mentally in Valmet's laboratory represent
consistency (% Cs) as a function of the
measurement signal. The sensor gives
accurate consistency readings by calcu-
lating the result from the detected meas-
urement signal by means of the calibra-
tion curve.
Valmet Automation recommends calibrating the device when setting it up, so as to
optimize the device settings for the conditions where it will be used. Calibration is done
by taking a process sample and entering its laboratory-measured consistency result into
the device, as instructed below.
Valmet OC should preferably be calibrated separately for each pulp type it will be
measuring. Calibrations for up to four pulps can be saved in the TCU memory. When
the pulp recipe is known, the device is able to accurately convert the measured signal
into a consistency reading (% Cs).
The desired calibration can be activated either directly from the device, or with remote
selection through binary inputs or HART
®
. Calibrations and other operations are carried
out by the software, no mechanical settings or changes are needed. Calibration data is
preserved in memory even if power goes off.
10.2
Requirements for good calibration results
Important: To get the best possible calibration and measurement performance, follow
these instructions. Please contact your Valmet representative if you need help or further
advice.
1. The sensor must be installed according to the instructions provided by the
supplier.
Calibration | 33 (48)
K20798 V1.1 EN - 1 - 12/2019

Related product manuals