EasyManua.ls Logo

Watlow F4P Series

Watlow F4P Series
124 pages
To Next Page IconTo Next Page
To Next Page IconTo Next Page
To Previous Page IconTo Previous Page
To Previous Page IconTo Previous Page
Loading...
Watlow Series F4P Features 7.9
Other Features
Autotuning
The autotuning feature allows the controller to measure
the system response to determine effective settings for
PID control. When autotuning is initiated the controller
reverts to on-off control. The temperature must cross the
auto-tune set point four times to complete the autotuning
process. Once complete, the controller controls at the nor-
mal set point, using the new parameters. The F4P stores
the value in the PID set specified.
Location in software: Operations Page > Autotune PID >
PID Set x (1 to 5).
ç
CAUTION: Choose an auto-tune set point value that will
protect your product from possible damage from overshoot
or undershoot during the autotuning oscillations. If the
product is sensitive, carefully select the auto-tune set
point to prevent product damage.
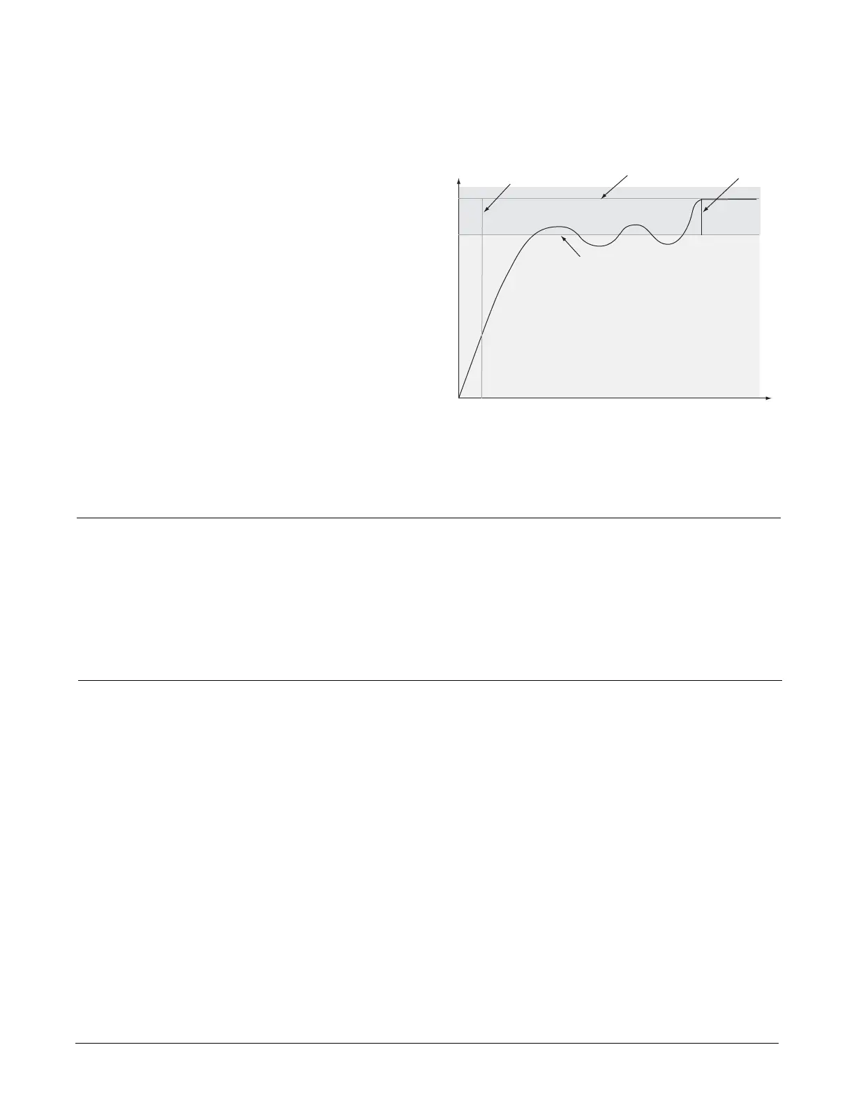
Figure 7.9 — Autotuning.
NOTE:
For manual tuning, see the Operations Chapter.
Time
Temperature
Auto-tune begins
(on-off control).
Process Set Point
Auto-tune Set Point
(Default is 90% of process set point.)
Auto-tune is complete
(PID control).
Retransmit
Retransmit outputs 1 and 2 can retransmit an analog
signal to serve as an input variable for another device.
The signal may serve as a remote set point for another
controller or as input for a chart recorder to document
system performance over time.
Location in software: Setup Page.
Open Loop Detect
Open loop checks the integrity of the control loop, con-
sisting of the controller output, power control, heater and
sensor.
If the output power is at its maximum for a period of
time equal to the reset time and the input has not
changed at least ± 5°F, the controller will switch to Man-
ual Mode at 0% output power. The upper screen will dis-
play [oPLP`] and the lower screen will display “Open
Loop.”
To clear an open loop error, after correcting the problem
that caused it, turn the controller off then back on.
Location in software: Setup Page > System.

Table of Contents

Related product manuals