EasyManua.ls Logo

Brooks 9600 - Supply and Return Water Line Connections

Brooks 9600
70 pages
Print Icon
To Next Page IconTo Next Page
To Next Page IconTo Next Page
To Previous Page IconTo Previous Page
To Previous Page IconTo Previous Page
Loading...
3-2 ©2013 Brooks Automation Inc. Pub. No. 8040444, Rev. AA, 01/14/2013 ECO No. 63723
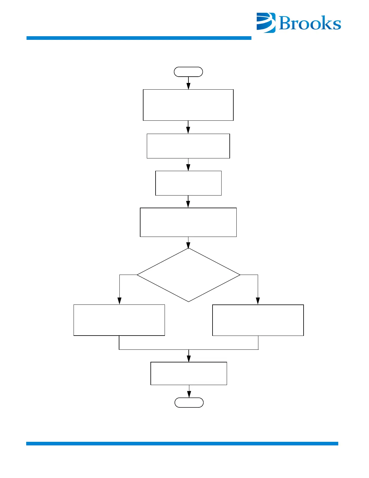
Figure 3-1: 9600 Compressor Installation Flowchart
Supply and Return Water
Line Connections
(refer to page 3-3)
Electrical Connections
(refer to page 3-4)
Phase Check
(refer to page 3-6)
Single Cryopump
Connections
(refer to page 3-8)
START
Refer to
“Section 4 - Operation”
END
Single or Multiple
Cryopump
Installation?
Multiple Cryopump
Connections
(refer to page 3-11)
Connect/Disconnect Helium
Flexlines
(refer to page 3-7)

Table of Contents