EasyManua.ls Logo

ETC Sensor3 CEM3 - Sensor 2.0 and Stage 1 Curves

ETC Sensor3 CEM3
84 pages
Print Icon
To Next Page IconTo Next Page
To Next Page IconTo Next Page
To Previous Page IconTo Previous Page
To Previous Page IconTo Previous Page
Loading...
System Reference 23
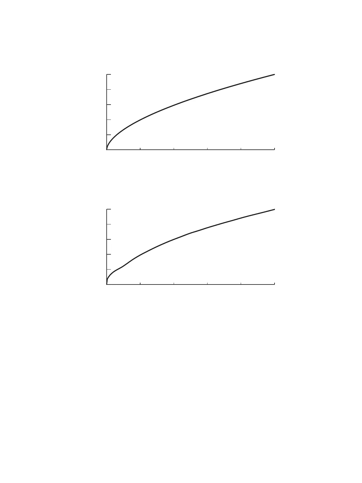
Sensor 2.0
The Sensor 2.0 curve is the previous version of the ETC modified square law curve. It provides
backwards compatibility for shows created using earlier versions of ETC equipment and familiar
response for designers who prefer the earlier version.
Stage 1
This curve matches the stage curve of the Transtechnik PM90 dimming system.
0 20406080100
0
20
40
60
80
100
Control Input (%)
Dimmer Output (%)
0 20406080100
0
20
40
60
80
100
Control Input (%)
Dimmer Output (%)

Table of Contents

Related product manuals