EasyManua.ls Logo

ETC Sensor3 CEM3 - ANDI, VIP 90, and Custom Curves

ETC Sensor3 CEM3
84 pages
Print Icon
To Next Page IconTo Next Page
To Next Page IconTo Next Page
To Previous Page IconTo Previous Page
To Previous Page IconTo Previous Page
Loading...
System Reference 25
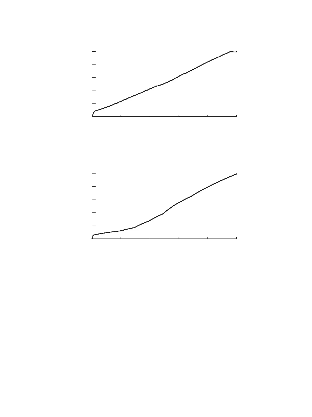
ANDI
This curve is tuned to match the curve of Strand ANDI dimmer systems.
VIP 90
VIP90 is a curve specifically tuned to produce good dimming performance with the VIP-90 fluorescent
ballast from SE Light management AG, commonly used in European theatrical fluorescent luminaires.
Custom
You can use ETC’s Concert software to configure up to five custom curves.
0 20406080100
0
20
40
60
80
100
Control Input (%)
Dimmer Output (%)
0 20406080100
0
20
40
60
80
100
Control Input (%)
Dimmer Output (%)

Table of Contents

Related product manuals