EasyManua.ls Logo

Ferroli TOR - Caracteristica Pompei De Circulație

Ferroli TOR
184 pages
Print Icon
To Next Page IconTo Next Page
To Next Page IconTo Next Page
To Previous Page IconTo Previous Page
To Previous Page IconTo Previous Page
Loading...
TOR
cod. 3542B750 - Rev 05 - 07/2022
48
RO
22
TOR
TOR
cod. 3542B750 - Rev 00 - 05/2022
22
EN
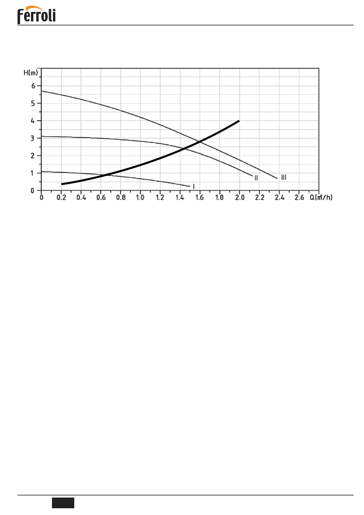
4.4 CURvE gRaph
Circulating pump flow-lift curve graph
A
= Circulating pump speed
= Electric heating unit lift loss
4.4. Caracteristica pompei de circulație
1 - 2 - 3 = Interval modulare pompă
H = Înălțime pompare
Q = Debit
A = Pierdere de ridicare a unității de încălzire electrică
4.4 CARACTERISTICAPOMPEIDECIRCULAȚIE

Table of Contents

Related product manuals