EasyManua.ls Logo

GE M60 - Page 420

GE M60
676 pages
To Next Page IconTo Next Page
To Next Page IconTo Next Page
To Previous Page IconTo Previous Page
To Previous Page IconTo Previous Page
Loading...
5-212 M60 MOTOR PROTECTION SYSTEM – INSTRUCTION MANUAL
GROUPED ELEMENTS CHAPTER 5: SETTINGS
5
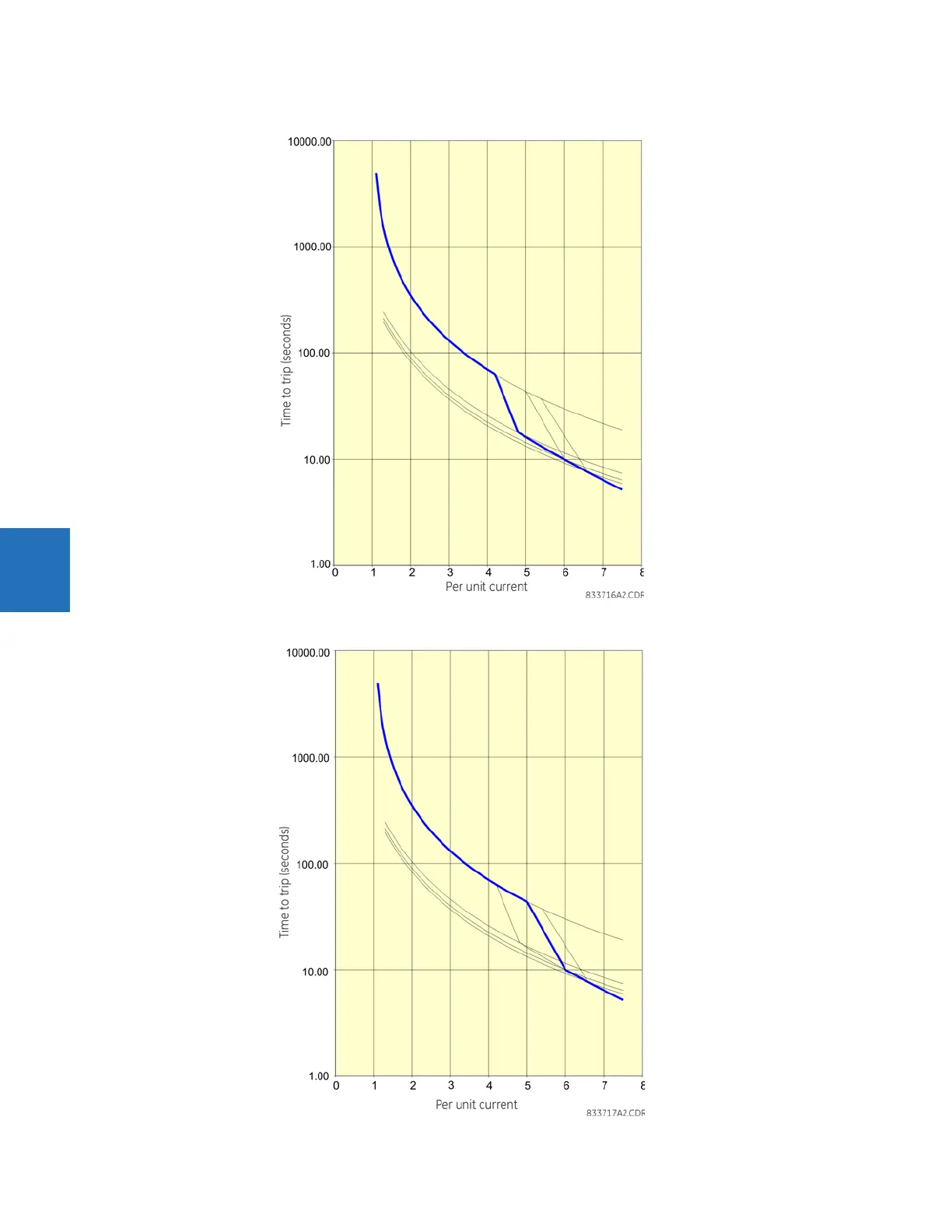
Figure 5-109: Voltage dependent overload curve protection at minimum voltage
Figure 5-110: Voltage dependent overload curve protection at 100% voltage

Table of Contents

Related product manuals