EasyManua.ls Logo

GE M60 - Page 422

GE M60
676 pages
Print Icon
To Next Page IconTo Next Page
To Next Page IconTo Next Page
To Previous Page IconTo Previous Page
To Previous Page IconTo Previous Page
Loading...
5-214 M60 MOTOR PROTECTION SYSTEM – INSTRUCTION MANUAL
GROUPED ELEMENTS CHAPTER 5: SETTINGS
5
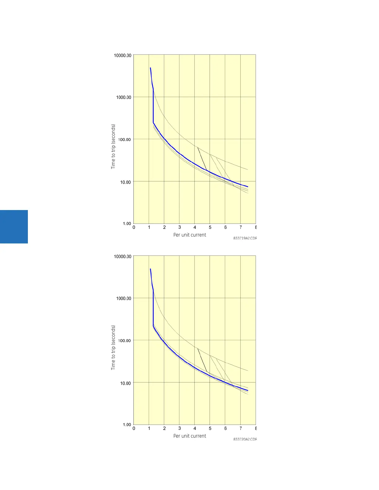
Figure 5-112: Voltage dependent overload curve protection at less than minimum voltage
Figure 5-113: Voltage dependent overload curve protection at voltage loss condition

Table of Contents

Related product manuals