EasyManua.ls Logo

Heidolph PD 5201 - Tube Service Life

Default Icon
Print Icon
To Next Page IconTo Next Page
To Next Page IconTo Next Page
To Previous Page IconTo Previous Page
To Previous Page IconTo Previous Page
Loading...
IEI
72
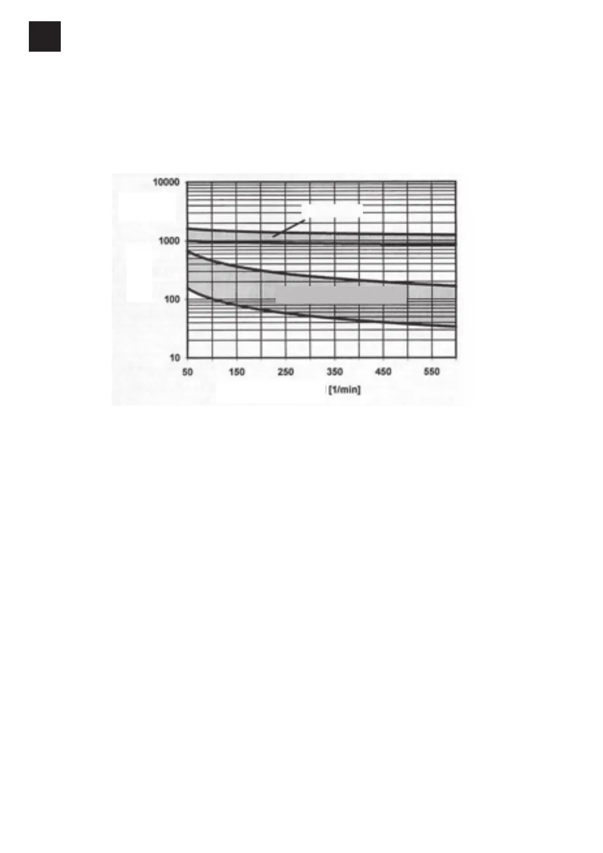
12. Service life of tubes
Peristaltic pump tubes are wear parts. Service life of tubes is a function of material, rotational
speed, and properties of the substance to be fed, e.g. temperature, viscosity, chemical
composition, and pressure. For more information about expected service life of tubes (not
binding), refer to graphs overleaf.
rotational speed
hours
PharMed
Tygon / Silicone / Viton

Table of Contents

Related product manuals