EasyManua.ls Logo

Hirschmann PAT IFLEX5 - E61 - Flow Chart

Hirschmann PAT IFLEX5
79 pages
Print Icon
To Next Page IconTo Next Page
To Next Page IconTo Next Page
To Previous Page IconTo Previous Page
To Previous Page IconTo Previous Page
Loading...
Service Manual iFLEX5
© Hirschmann Rev. I 0522/17 190154_I.DOC
18
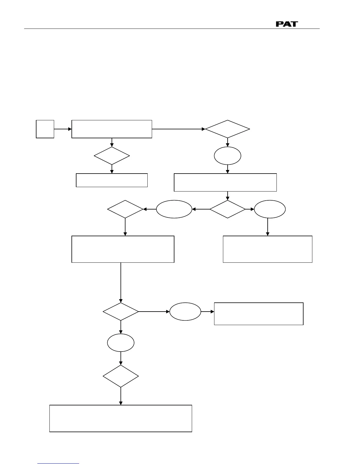
Measure between pins 3 and 2 for crane voltage. If you see voltage, check all pins for continuity.
The central unit must be replaced if this cable is functioning correctly. If the E61 error code has
become an E64, connect the cable reel can bus cable to the transducer block and remove the can
bus connector at the cable reel. If this causes an E61 to appear, the can bus cable between the cable
reel and transducer block must be replaced. If an E64 remains, use the Ohm-meter to check the
connector in the cable reel. Either the connector has failed or the can bus converter boards must be
replaced.
12.1.1 E61 - Flow Chart
E61
Connect the two cables on the
Transducer block together
E61
Yes
Disconnect cables and connect cable
from c/u to transducer block
E61
Yes
No
Ohm cable from c/u to the
transducer block. If cable checks
good replace c/u
Connect the cable reel can bus cable to
the transducer block. Remove can bus
connector at cable reel
E61
Yes
Replace can bus cable between
Cable reel and transducer block
No
Ohm out connector in cable reel. If connector
Checks good replace can bus converter board.
E62
Replace Transducer Block
E64
E64

Table of Contents

Related product manuals