EasyManua.ls Logo

Intel Core i7-800 - Thermal Design and Modelling; Thermal Solution Validation

Intel Core i7-800
102 pages
Print Icon
To Next Page IconTo Next Page
To Next Page IconTo Next Page
To Previous Page IconTo Previous Page
To Previous Page IconTo Previous Page
Loading...
Sensor Based Thermal Specification Design Guidance
52 Thermal/Mechanical Specifications and Design Guidelines
Note: If an ambient of greater than 45.1 °C is necessary based on the boundary conditions a thermal solution
with a Ψ
CA
lower than 0.29 °C/W will be required.
7.3.2 Thermal Design and Modelling
Based on the boundary conditions the designer can now make the design selection of
the thermal solution components. The major components that can be mixed are the
fan, fin geometry, heat pipe or air cooled solid core design. There are cost and acoustic
trade-offs the customer can make.
7.3.3 Thermal Solution Validation
7.3.3.1 Test for Compliance with the TTV Thermal Profile
This step is the same as previously suggested for prior products. The thermal solution
is mounted on a test fixture with the TTV and tested at the following conditions:
TTV is powered to the TDP condition
Thermal solution fan operating at full speed
•T
AMBIENT
at the boundary condition from Section 7.3.1
The following data is collected: TTV power, TTV T
CASE
, and T
AMBIENT
. This is used to
calculate Ψ
CA
which is defined as:
Ψ
CA
= (TTV T
CASE
– T
AMBIENT
) / Power
This testing is best conducted on a bench to eliminate as many variables as possible
when assessing the thermal solution performance. The boundary condition analysis as
described in Section 7.3.1 should help in making the bench test simpler to perform.
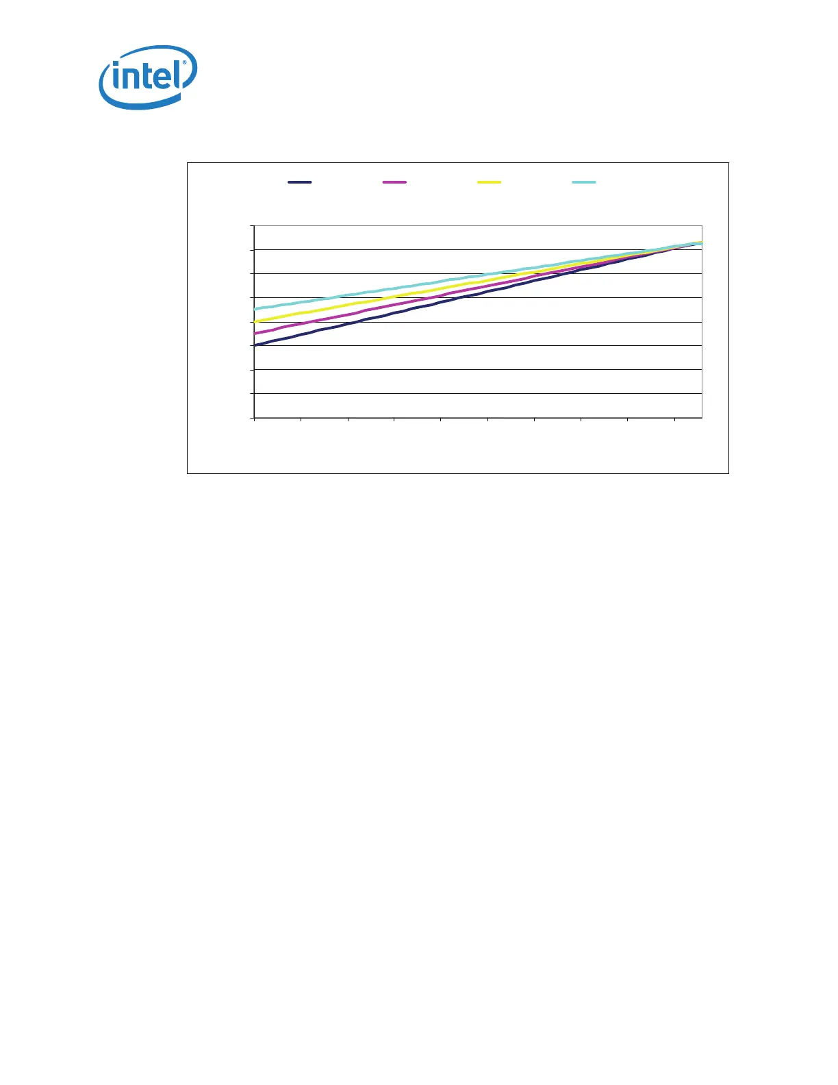
Figure 7-4. Required Ψ
CA
for Various T
AMBIENT
Conditions
0.0
10.0
20.0
30.0
40.0
50.0
60.0
70.0
80.0
0 20406080
TTV Power Dissipation (W)
TTV Tcase (°C)
Ψ-ca = 0.45
Ta = 30 °C
Ψ-ca = 0.40
Ta = 35 °C
Ψ-ca = 0.34
Ta = 40 °C
Ψ-ca = 0.29
Ta = 45.1 °C

Table of Contents

Related product manuals