EasyManua.ls Logo

Intel Core i7-800 - Fan Speed Control Algorithm with T Data; AMBIENT Data; Fan Response Without T

Intel Core i7-800
102 pages
Print Icon
To Next Page IconTo Next Page
To Next Page IconTo Next Page
To Previous Page IconTo Previous Page
To Previous Page IconTo Previous Page
Loading...
Thermal/Mechanical Specifications and Design Guidelines 55
Sensor Based Thermal Specification Design Guidance
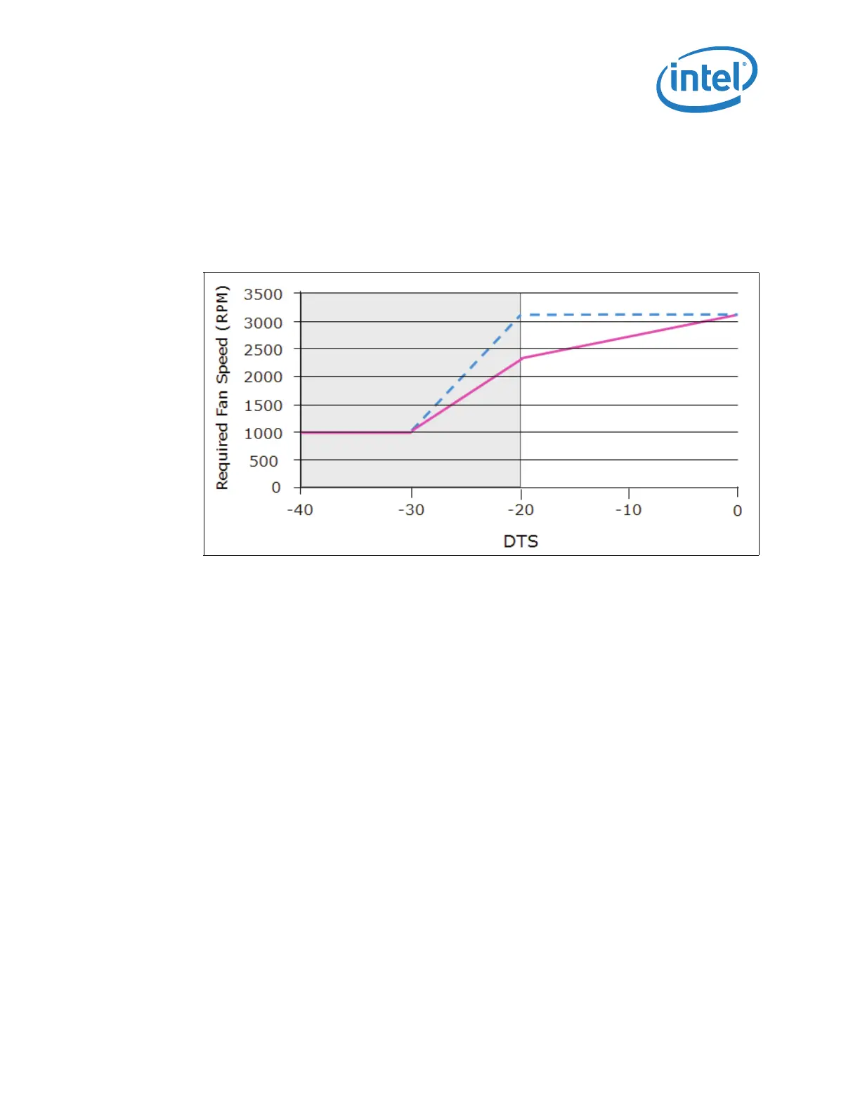
are less than T
CONTROL
. For simplicity, the graph shows a linear acceleration of the fans
from T
CONTROL
- 10 to T
CONTROL
as has been Intel’s guidance for simple fan speed
control algorithms.
As the processor workload continues to increase, the DTS value will increase and the
FSC algorithm will linearly increase the fan speed from the 2300 RPM at DTS = -20 to
full speed at DTS value = -1.
7.4.2 Fan Speed Control Algorithm with T
AMBIENT
Data
In a system where the FSC algorithm has access to the T
AMBIENT
information and is
capable of using the data the benefits of the DTS thermal specification become more
striking.
As will be demonstrated below, there is still over cooling of the processor, even when
compared to a nominally ambient aware thermal solution equipped with a thermistor.
An example of these thermal solutions are the RCFH7-1156 (DHA-A) or the boxed
processor thermal solutions. This over cooling translates into acoustic margin that can
be used in the overall system acoustic budget.
In this example the following assumptions are made:
•T
AMBIENT
= 35 °C
The same Thermal Solution designed / validated to a 40 °C environment as used in
the example in Section 7.4.1
•T
CONTROL
= -20
FSC device has access to T
AMBIENT
data
Reference processor thermal solution (RCFH7-1156 (DHA-A))
•Below T
CONTROL
the fan speed is slowed down as in prior products
Figure 7-6. Fan Response Without T
AMBIENT
Data

Table of Contents

Related product manuals