EasyManua.ls Logo

Intermec EasyCoder 501 - Page 124

Intermec EasyCoder 501
227 pages
Print Icon
To Next Page IconTo Next Page
To Next Page IconTo Next Page
To Previous Page IconTo Previous Page
To Previous Page IconTo Previous Page
Loading...
123Intermec EasyCoder 501 Service Manual Ed. 7
Chapter 17 CPU Board
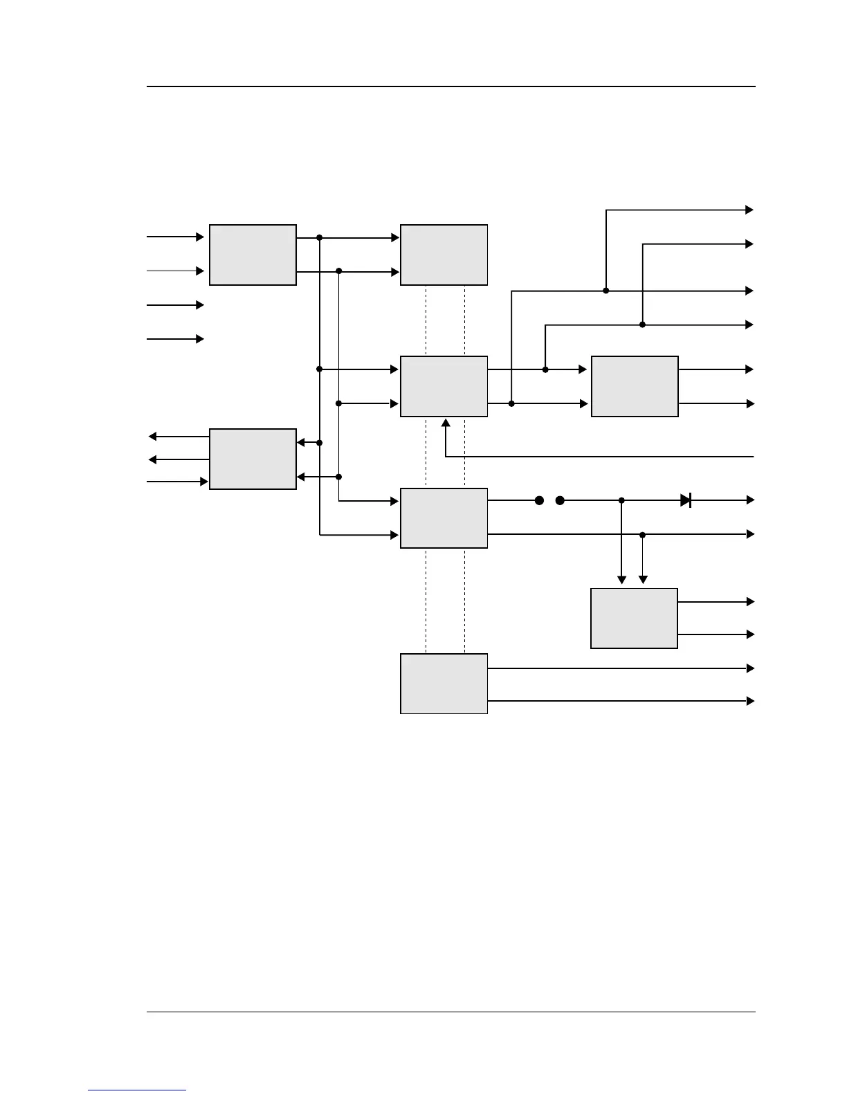
17.2 Overview, cont.
The main operating principles of the power supply hardware on
the CPU board are illustrated by the following diagram. For a
detailed circuits diagram, refer to Chapter 17.6:13.
AC/DC
CONVERTER
VOLTAGE
WATCH DOG
DC/DC
CONVERTER
33 V
DC/DC
CONVERTER
24 V
DC/DC
CONVERTER
5 V
RESET
Battery &
Battery charge
circuit
P-300
P-302 D-308
P-303
4
3
2
1
1
2
V24
V40
+5V
RESET
/RESET
V24-EN
AD-VIN
VIN OK
THRESH
VEE
AD-CHARGE
DC/DC
CONVERTER
40 V

Table of Contents

Related product manuals