EasyManua.ls Logo

Mercury 50

Mercury 50
599 pages
To Next Page IconTo Next Page
To Next Page IconTo Next Page
To Previous Page IconTo Previous Page
To Previous Page IconTo Previous Page
Loading...
TIMING, SYNCHRONIZING, & ADJUSTING
Page 2C-6 90-828631R3 MARCH 1999
NOTE: Keep viewing the tachometer, as the engine rpm may fluctuate during adjustments.
Keep adjusting the idle rpm screw in order to keep the engine speed at approximately 1000
rpm.
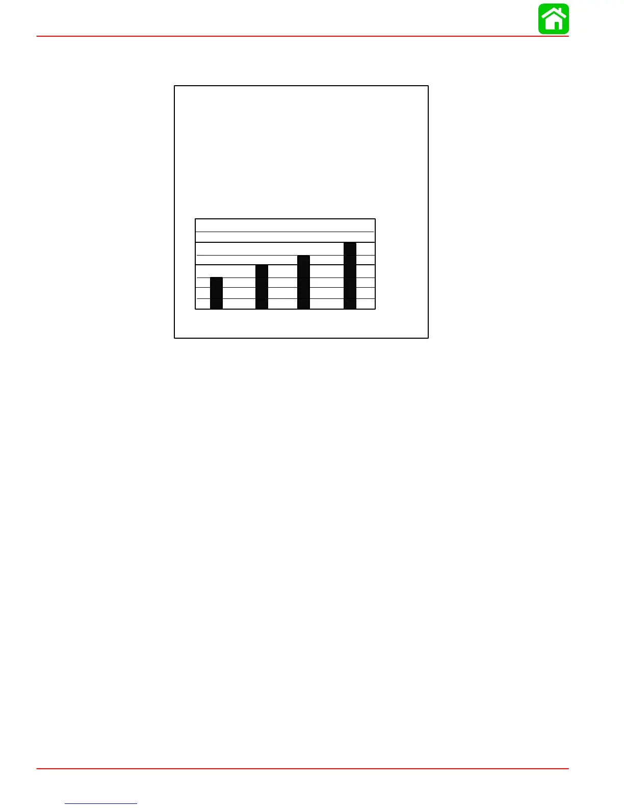
Example
34 cm
32 cm
30 cm
28 cm
26 cm
Cyl.
# 4
Cyl.
# 3
Cyl.
#. 2
Cyl.
# 1
If the vacuum reading of Cyl. #4 is 32 cm, then
adjust carburetor screws 3, 2, and 1 to obtain the
listed averaged vacuum values at the other cylin-
ders.
Cyl. #4: (Base ) = 32 cm. . . . . . . . . . . . . . . . . . . . .
Cyl. #3: 32 cm – 1 cm = 31 cm. . . . . . . . . . . . . . .
Cyl. #2: 32 cm – 2 cm = 30 cm. . . . . . . . . . . . . . .
Cyl. #1: 32 cm – 3 cm = 29 cm. . . . . . . . . . . . . . .
8. Rev engine a few times and let engine idle for 15 seconds. Check that the average vacu-
um values remain between cylinders. Readjust if necessary.
9. Stop engine, remove adaptors and reinstall plugs. Refer to Idle Speed Adjustment and
adjust the idle rpm back to specification.

Table of Contents

Other manuals for Mercury 50

Related product manuals