EasyManua.ls Logo

MSA ALTAIR 5X - 7.4 Setup

MSA ALTAIR 5X
91 pages
Print Icon
To Next Page IconTo Next Page
To Next Page IconTo Next Page
To Previous Page IconTo Previous Page
To Previous Page IconTo Previous Page
Loading...
MSA
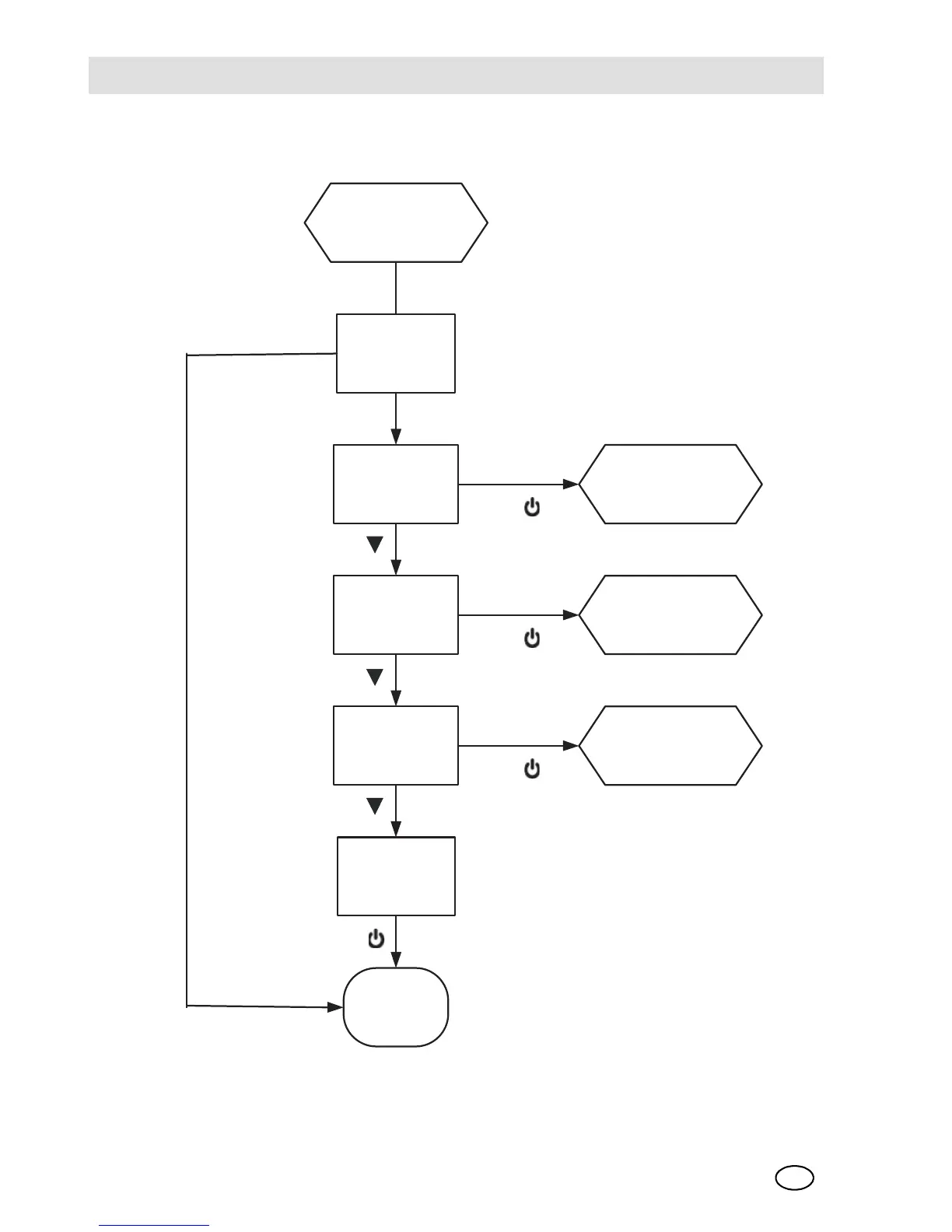
Appendix – Flow Charts
ALTAIR 5X/ALTAIR 5X IR
82
GB
7.4 Setup
ENTER
PASSWORD
EXIT ?
PASSWORD
FAIL
SETUP
ALARM
OPTIONS
(See 7.6.1)
INSTRUMENT
OPTIONS
(See 7.7.1)
CALIBRATION
OPTIONS
(See 7.5)
CALIBRATION
OPTIONS ?
ALARM
OPTIONS ?
INSTRUMENT
OPTIONS ?
MAIN
MEASURE
PAGE
Press
Press
Press
Press
Press
Press
Press

Other manuals for MSA ALTAIR 5X

Related product manuals