EasyManua.ls Logo

Nortel 7400 - Page 145

Nortel 7400
550 pages
Print Icon
To Next Page IconTo Next Page
To Next Page IconTo Next Page
To Previous Page IconTo Previous Page
To Previous Page IconTo Previous Page
Loading...
Chapter 24 Failed control processor replacement 145
Multiservice Switch 7400 Hardware Installation, Maintenance, and Upgrade 6.1S2
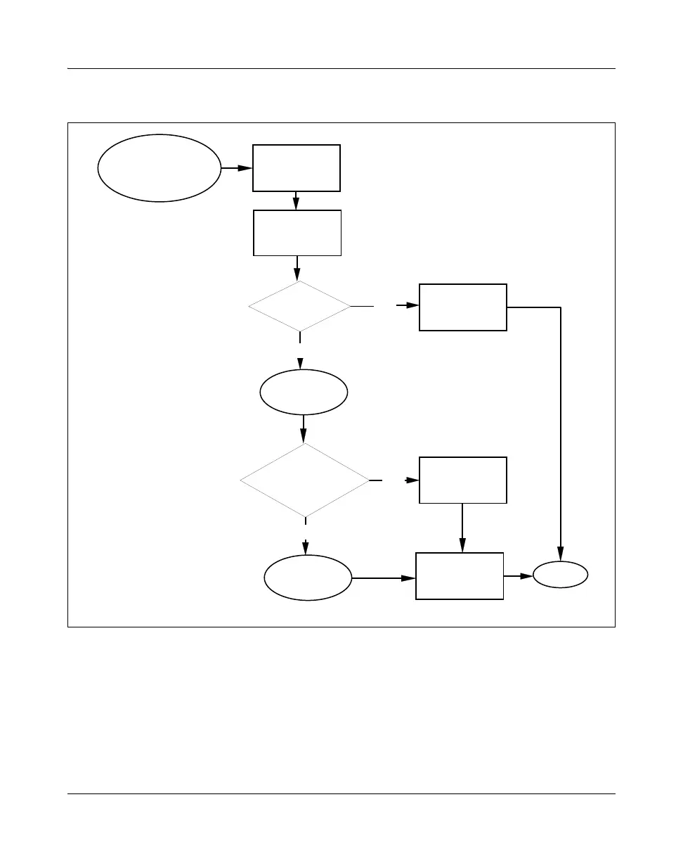
Figure 37
Failed control processor replacement task flow
Task flow navigation
The following references are listed alphabetically:
“Basic node setup”. See NN10600-550 Nortel Networks Multiservice
Switch 7400/15000/20000 Common Configuration Procedures.
“Installing a control processor” (page 254)
Yes
No
Yes
No
Failed control
processor
replacement
StartUp
overview
Preside MDM
backup
available?
Multiservice
Switch node
recovery
Basic node
setup
END
Removing a
control processor
Installing a control
processor
CP spared?
Resetting the
alarm hardware
(if necessary)
Resetting the
alarm hardware
(if necessary)
PP_TASK_1014.ins

Table of Contents

Related product manuals