EasyManua.ls Logo

Omron E5C series - Page 202

Omron E5C series
392 pages
Print Icon
To Next Page IconTo Next Page
To Next Page IconTo Next Page
To Previous Page IconTo Previous Page
To Previous Page IconTo Previous Page
Loading...
5 Advanced Operations
5 - 44
E5@C Digital Temperature Controllers User’s Manual (H174)
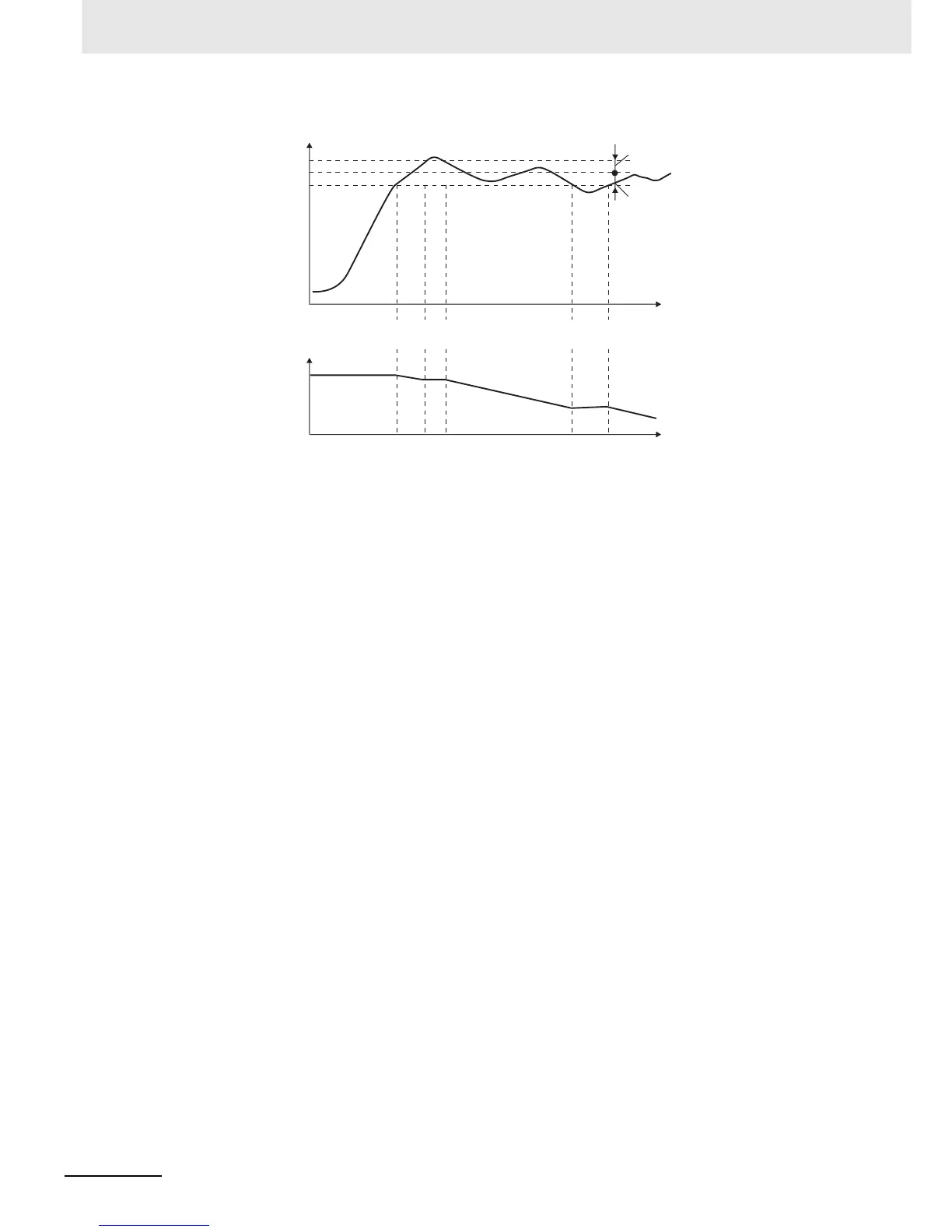
z Soak Time and Wait Band
The wait band is the band within which the process value is stable in respect to the set point. The
soak time is measured within the wait band. The timer that measures the soak time operates only
when the process value is within the wait band around the set point (i.e., SP ± wait band). In the
above diagram, the timer will be stopped between the start and (1), (2) and (3), and (4) and (5) and
will measure the time only between (1) and (2), (3) and (4), and (5) and the end.
* If the wait band is set to OFF, the wait band will be treated as infinity and the timer will measure time
continuously after changing from RSET to STRT.
PV
RSET STRT
(5)
(1) (2) (3)
(4)
Set point
Wait band
Wait band
Soak time
remain
Set point Set point

Table of Contents

Related product manuals