EasyManua.ls Logo

Planet VDR-301n - Page 46

Planet VDR-301n
124 pages
Print Icon
To Next Page IconTo Next Page
To Next Page IconTo Next Page
To Previous Page IconTo Previous Page
To Previous Page IconTo Previous Page
Loading...
User Manual of VDR-301N
46
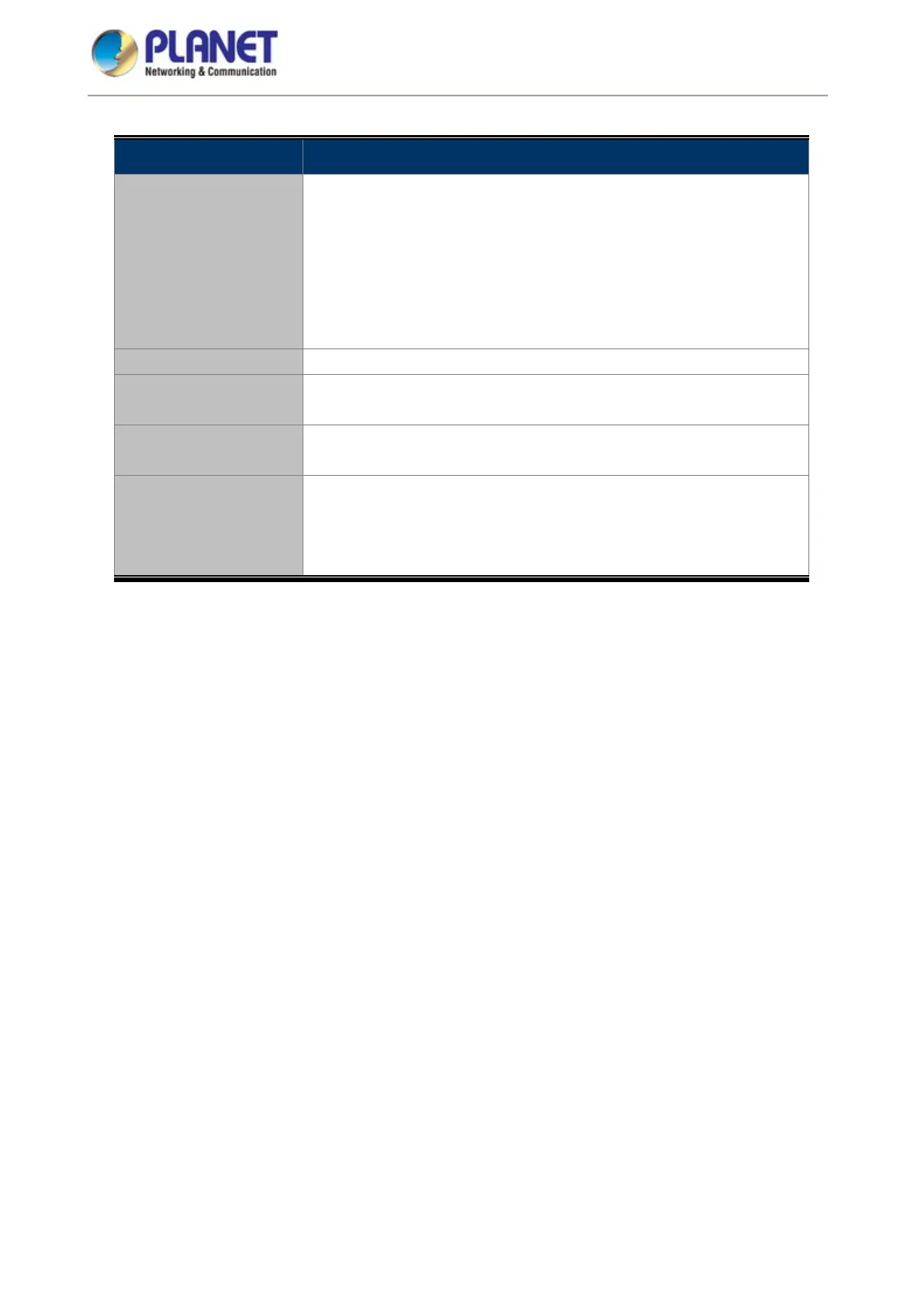
The following table describes the parameters:
Field Description
DSL modulation
Choose preferred xDSL standard protocols.
G.Lite: G.992.2 Annex A
G.Dmt: G.992.1 Annex A
T1.413: T1.413 issue #2
ADSL2: G.992.3 Annex A
ADSL2+: G.992.5 Annex A
VDSL2: ITU G.993.2
AnnexL Option
You can choose Enable or Disable ADSL2/ADSL2+ AnnexL capability.
AnnexM Option
You can choose Enable or Disable ADSL2/ADSL2+ AnnexM
capability.
VDSL2 Profile
Select the VDSL2 profile that the DSLAM supported.
8A, 8B, 8C, 8D, 12A, 12B, 17A, 30A
ADSL Capability
Bitswap Enable: You can choose Enable or Disable bitswap
capability.
SRA Enable: You can choose Enable or Disable SRA (seamless rate
adaptation) capability.

Other manuals for Planet VDR-301n

Related product manuals