EasyManua.ls Logo

Racepak G2X - How to Determine the Currently Graphed and Active Channel; Averaging Data Using the Averaging Cursor Action

Racepak G2X
124 pages
Print Icon
To Next Page IconTo Next Page
To Next Page IconTo Next Page
To Previous Page IconTo Previous Page
To Previous Page IconTo Previous Page
Loading...
How to Determine the Currently Graphed and Active Channel
When graphing and reviewing multiple channels, the location of the
mouse cursor in the Main Graph area is indicated by an X. The X
represents the channel that the mouse cursor will follow, when moving
left and right in the Main Graph area. As previously discussed, the
Channel Buttons display the current values for each channel, according
to the cursor position in the Main Graph area.
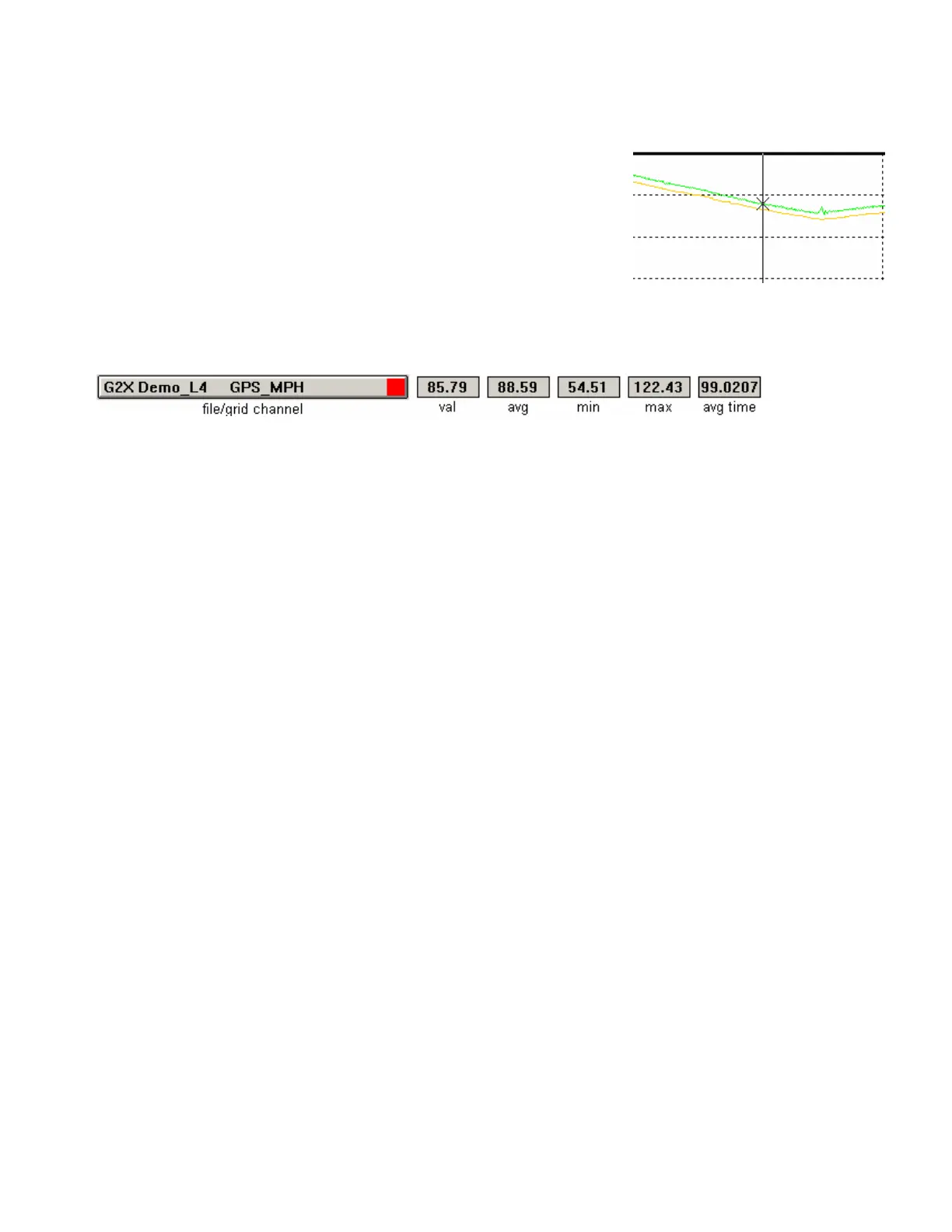
To determine which channel the X is following, simple look at the Channel Grid Display, found at the
top, right corner of the Main Graph area. In addition to noting the current active channel, the Channel
Grid Display can also provide:
Val: The current channel value, according to cursor position in the Main Graph Area
Avg: The average value for the active channel. This is determined by averaging the values for the
channel as displayed in the entire Main Graph area.
Min: The minimum value obtain, over the entire Main Graph area
Max: The maximum value obtained, over the entire Main Graph area
Avg Time: The average time period for the entire Main Graph area or as determined by placing average
cursors in the Main Graph area.
To move (toggle) the mouse cursor to the next graphed channel:
Place the mouse cursor over the Channel Grid Display.
Left click the mouse button. This action will update the Main Graph scaling to reflect the next graphed
channel shown in the Channel Grid Display. Continue left clicking to toggle through all graphed
channels. The TAB key on the keyboard will also perform the same function.
Averaging Data Using the Averaging Cursor Action
The DataLink software will automatically calculate average channel data, according to the beginning
and ending data displayed in the Main Graph area. There are times however, that a detailed look at data
in a particular area is desired. This can be accomplished by placing Averaging Cursors within the Main
Graph area.
With this action, the DataLink software will provide minimum, maximum and average values for data
only between the Averaging Cursors. To perform this action:
70

Table of Contents