EasyManua.ls Logo

Riele 4040+ - Fundamental to the Kinetic

Default Icon
73 pages
Print Icon
To Next Page IconTo Next Page
To Next Page IconTo Next Page
To Previous Page IconTo Previous Page
To Previous Page IconTo Previous Page
Loading...
4040+e_22.docx / 06.10.17
ROBERT RIELE GmbH & Co KG Page 19 6 - CALCULATION PROCEDURES
6.1.7 Fundamental to the Kinetic…
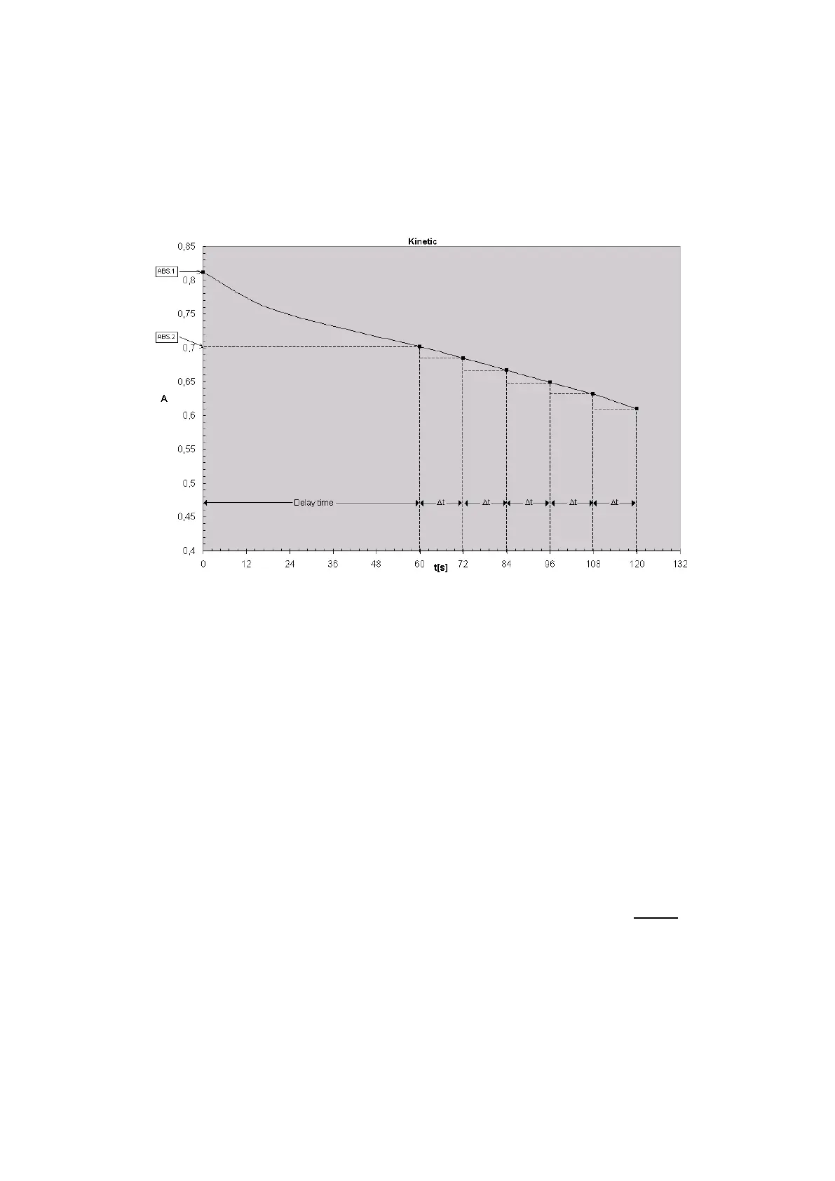
In a kinetic method the sample absorbance is measured several times in pre-established time intervals.
The user can define a delay time and a quantity and duration of time intervals after the delay time (Deltas or Δt).
At the beginning and at the end of the delay time the absorbance values ABS.1 and ABS.2 are measured
respectively. The difference |ABS.1 ABS.2| allows the differentiation between normal and abnormal activities.
This is followed by a sequence of measurements in regular time intervals (Deltas or Δt). An example of a resulting
curve is shown in Fig. 5.1.7.1:
Fig. 6.1.7.1: Resulting curve of kinetic test, decreasing absorbance
In each time interval (Delta or Δt) the difference between the relating absorbance values as well as the gradient
of the curve are calculated.
To obtain the alteration per minute A
S,Minute
the gradients must be averaged. This is done by a simple linear
regression calculation also giving an indicator for the linearity of the test. This indicator is called the coefficient of
correlation R. For practical reasons, the square of the coefficient of correlation R^2 or coefficient of determination
is taken in a Kinetic calculation. The value of R^2 can vary between 0 and 1. An R^2 value of 1 indicates perfect
linearity and a value of 0 indicates absolute non-linearity. Already values < 0.9 indicate a bad linearity and
therefore an incorrect test. In order to improve the linearity of the kinetic only the best three deltas are considered
in the calculation procedure of the regression calculation. Therefore, at least three deltas are required when
programming a new method. If this procedure does not lead to an improvement all deltas are reconsidered in the
calculation procedure.
In practice, linear tests show values of R^2 near to 1. In the example for Calculation procedure 11 (KIN/F/Rb)
values of R^2 0.998 are permitted. Results with smaller R^2 values could be caused by temperature instability,
pollution, expired reagents, unfavorable delay time, etc.
For a better monitoring the number of deltas (deltas or Δt) should be bigger than specified for the manual
procedure. The classic three-minutes-test with three deltas of 60 s can be replaced by 15 deltas of 12s.
When programming a new method, which is based on CP 11 or CP 12, it is possible to set lower and upper limits
for the measurement result within the method editor (see chapter 7 - METHOD EDITOR, Fig. 6.5). This can be
achieved setting the parameters MIN. VALUE and MAX. VALUE. If the measured value exceeds the MAX. VALUE
a message RANGE MAX. is shown and if the measured value falls below MIN. VALUE message RANGE MIN. is
shown. Also a lower limit for R^2 can be entered by setting MIN. R^2, if the obtained R^2 value falls below the
entered value a message NON-LINEAR is shown.
In order to get positive results at tests with decreasing absorbance (see Fig. 5.1.7.1), a negative factor has to be
entered. Only if MAX. VALUE is set and the sign of the measured value is not equal to the sign of the entered
MAX. VALUE a message RANGE +/- is shown.
The parameters MIN. VALUE, MAX. VALUE and MIN. R^2 are deactivated entering a zero value.

Table of Contents

Related product manuals