EasyManua.ls Logo

Rosemount 3144P - Environmental; Moist or Corrosive Environments

Rosemount 3144P
170 pages
Print Icon
To Next Page IconTo Next Page
To Next Page IconTo Next Page
To Previous Page IconTo Previous Page
To Previous Page IconTo Previous Page
Loading...
Reference Manual
00809-0100-4021, Rev FB
August 2011
1-3
Rosemount 3144P
Environmental Temperature Effects
The transmitter will operate within specifications for ambient temperatures
between –40 and 185 °F (–40 and 85 °C). Since heat from the process is
transferred from the thermowell to the transmitter housing, if the expected
process temperature is near or beyond specification limits, consider using
additional thermowell lagging, an extension nipple, or a remote mounting
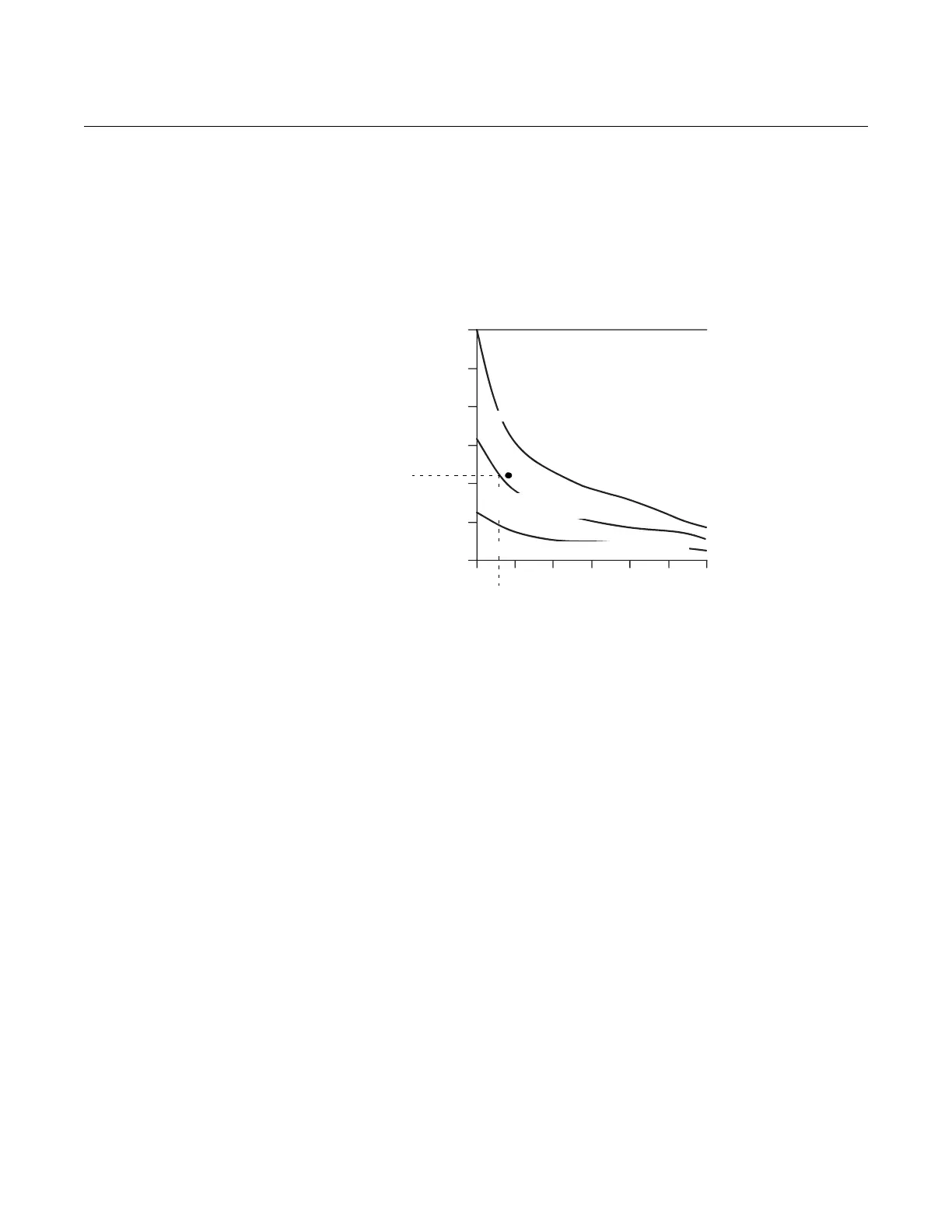
configuration to isolate the transmitter from the process. Figure 1-1 details the
relationship between housing temperature rise and extension length.
Figure 1-1. 3144P Transmitter
Housing Temperature Rise
versus Extension Length for a
Test Installation.
Example:
The maximum permissible housing temperature rise (T) can be calculated
by subtracting the maximum ambient temperature (A) from the
transmitter’s ambient temperature specification limit (S). For instance, if
A=4C.
T = S - A
T = 85 °C – 40 °C
T = 45 °C
For a process temperature of 540 °C (1004 °F), an extension length of 3.6
inches (91.4 mm) yields a housing temperature rise (R) of 22 °C (72 °F),
providing a safety margin of 23 °C (73 °F). A 6.0 inch (152.4 mm)
extension length (R = 10 °C (50 °F)) offers a higher safety margin (35 °C
(95 °F)) and reduces temperature-effect errors but would probably require
extra transmitter support. Gauge the requirements for individual
applications along this scale. If a thermowell with lagging is used, the
extension length may be reduced by the length of the lagging.
Moist or Corrosive
Environments
The 3144P temperature transmitter has a highly reliable dual compartment
housing designed to resist moisture and corrosion. The sealed electronics
module is mounted in a compartment that is isolated from the terminal side
conduit entries. O-ring seals protect the interior when the covers are properly
installed. In humid environments, however, it is possible for moisture to
accumulate in conduit lines and drain into the housing.
Housing Temperature Rise, Above
Ambient °C (°F)
3 4 5 6 7 8 9
0
60 (108)
50 (90)
40 (72)
30 (54)
20 (36)
10 (18)
3.6
22
Extension Length (in.)
815 °C (1500 °F) Oven Temperature
540 °C (1000 °F)
Oven Temperature
250 °C (482 °F) Oven Temperature
Aotewell Ltd
www.aotewell.com
Industry Automation
HongKong|UK|China
sales@aotewell.com
+86-755-8660-6182

Table of Contents

Other manuals for Rosemount 3144P

Related product manuals