EasyManua.ls Logo

Skope ReFlex Underbench - On-Site Work Procedure; Swap Cartridge

Skope ReFlex Underbench
61 pages
Print Icon
To Next Page IconTo Next Page
To Next Page IconTo Next Page
To Previous Page IconTo Previous Page
To Previous Page IconTo Previous Page
Loading...
48
Replacement Procedures
Service Manual
SKOPE Reflex Underbench Fridge and Freezer
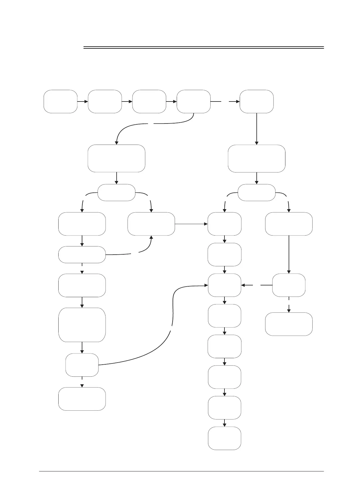
On-site Work Procedure
If a customer reports a ‘not cooling’ fault, and it has been established that the cabinet is not
cooling, follow the procedures below when making the service visit.
Swap Cartridge
Download data
using SCS
Connect Track
app (outside 1.5 m
safe work area).
Create a 1.5 m
safe
working area
around the
Calibrate gas
detector (away
from potential
gas source).
Is gas detected?
Check refrigeration
characteristics
and component
operations to
determine fault.
Place gas detector on ground in
front of cabinet and wait 10
seconds. If no gas detected on
floor, open cooler door and
check for gas inside cabinet.
Is gas detected?
Refrigeration
system is
considered to
have a gas leak.
Place gas detector on ground in
front of cabinet and wait 10
seconds. If no gas detected on
floor, open cabinet door and
check for gas inside cabinet.
Tag power supply
with ‘Out of
Service’ warning
label.
Ensure cartridge
is available and
customer agrees
with swap.
Safely remove
cartridge from
cabinet and move
to the service
vehicle area.
Fit replacement
cartridge.
Reload data
downloaded in
cell 2 (not req. if
original controller
still used).
If fault is component
(NOT sealed
refrigeration system),
replace onsite with
authorised OEM part
Test for correct
operation
Arrange
refrigeration
cartridge swap.
Is fault in sealed
refrigeration
system?
Is gas detected?
Check refrigeration
characteristics and
component operations
operations to determine
the fault. See Procedure
Is fault in sealed
refrigeration
system?
If fault is component
(NOT sealed
refrigeration system),
replace onsite with
authorised OEM part
Is mains socket
accessible?
Isolate at mains
socket (unplug).
No
No
Yes
Yes
Yes
No
No
Remove electrics box
cover and unplug IEC
connector to isolate
the power.
Remove kick panel and
use gas detector to check
around electrics box on
front of refrigeration unit
Unload cabinet and move
to access mains socket.
Yes
No
No
Yes
Yes
cabinet.
20: To determine if
there is a sealed
system fault.

Related product manuals