EasyManua.ls Logo

Söring Arco-3000 - Power Diagram Argon Open-Coagulation

Söring Arco-3000
89 pages
Print Icon
To Next Page IconTo Next Page
To Next Page IconTo Next Page
To Previous Page IconTo Previous Page
To Previous Page IconTo Previous Page
Loading...
25/08/2004 ©
Söring
Service-Manual Arco- and RF-units
1
not valid for A-3000/ -2000
2
not valid for Arco-2000
-82-
3
not valid for MBC600
4
not valid for Arco-1000
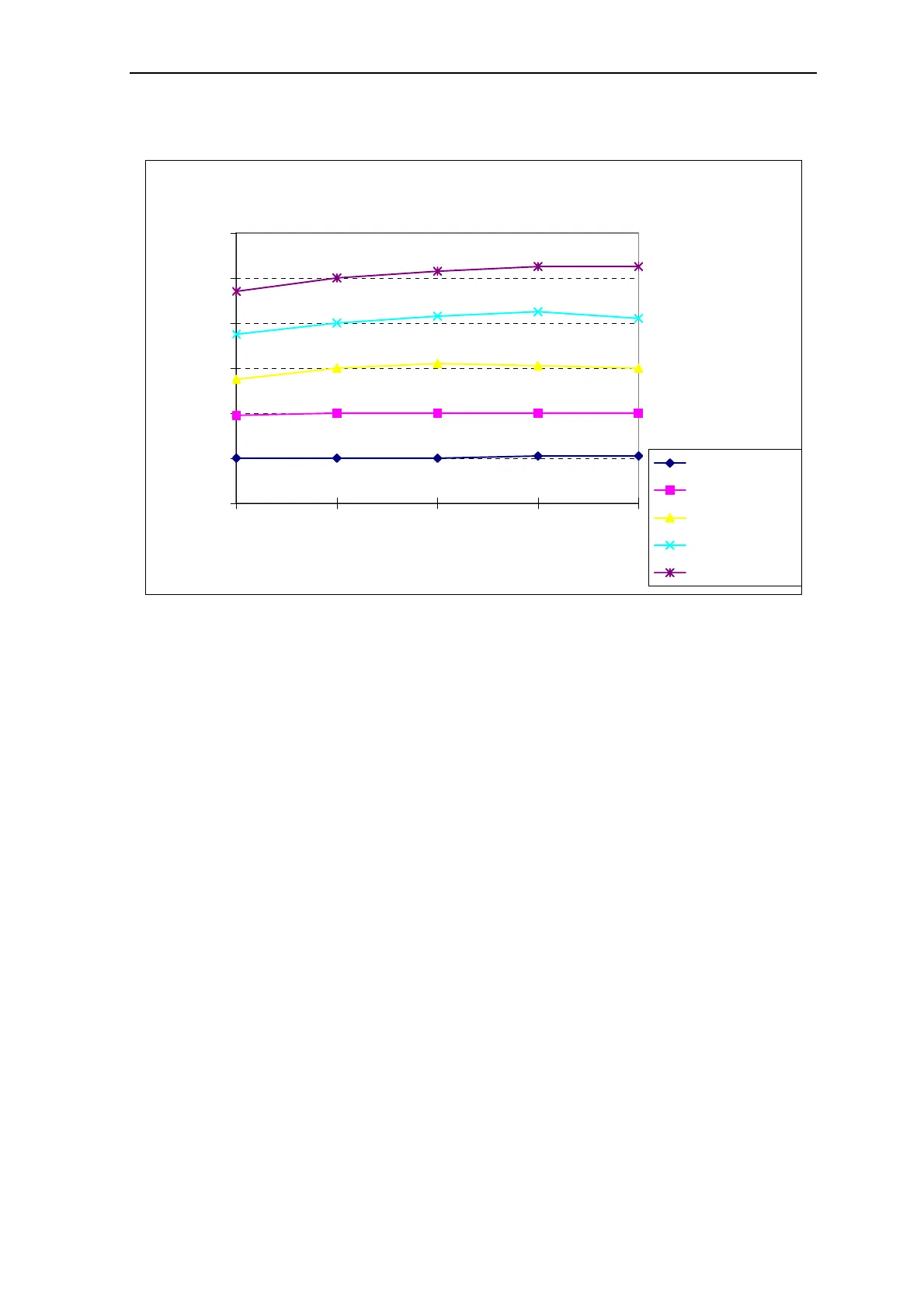
Power diagram Argon open-Coagulation
4
0
20
40
60
80
100
120
12345
Resistance in Ohm (1=100)
Power in Watt
Argon offen 1
Argon offen 2
Argon offen 3
Argon offen 4
Argon offen 5

Table of Contents

Related product manuals