EasyManua.ls Logo

TDK-Lambda GH10-150 - WAVE Mode Example

TDK-Lambda GH10-150
190 pages
Print Icon
To Next Page IconTo Next Page
To Next Page IconTo Next Page
To Previous Page IconTo Previous Page
To Previous Page IconTo Previous Page
Loading...
138
NOTE
Start condition: Assume power supply output is on; Initial voltage point is 0 Volts.
NOTE
Arbitrary waveforms can be easily created by using the Waveform Creator application available on
TDK-Lambda Web-Site. Refer to Quick Start Guide documentation on TDK-Lambda Web-Site.
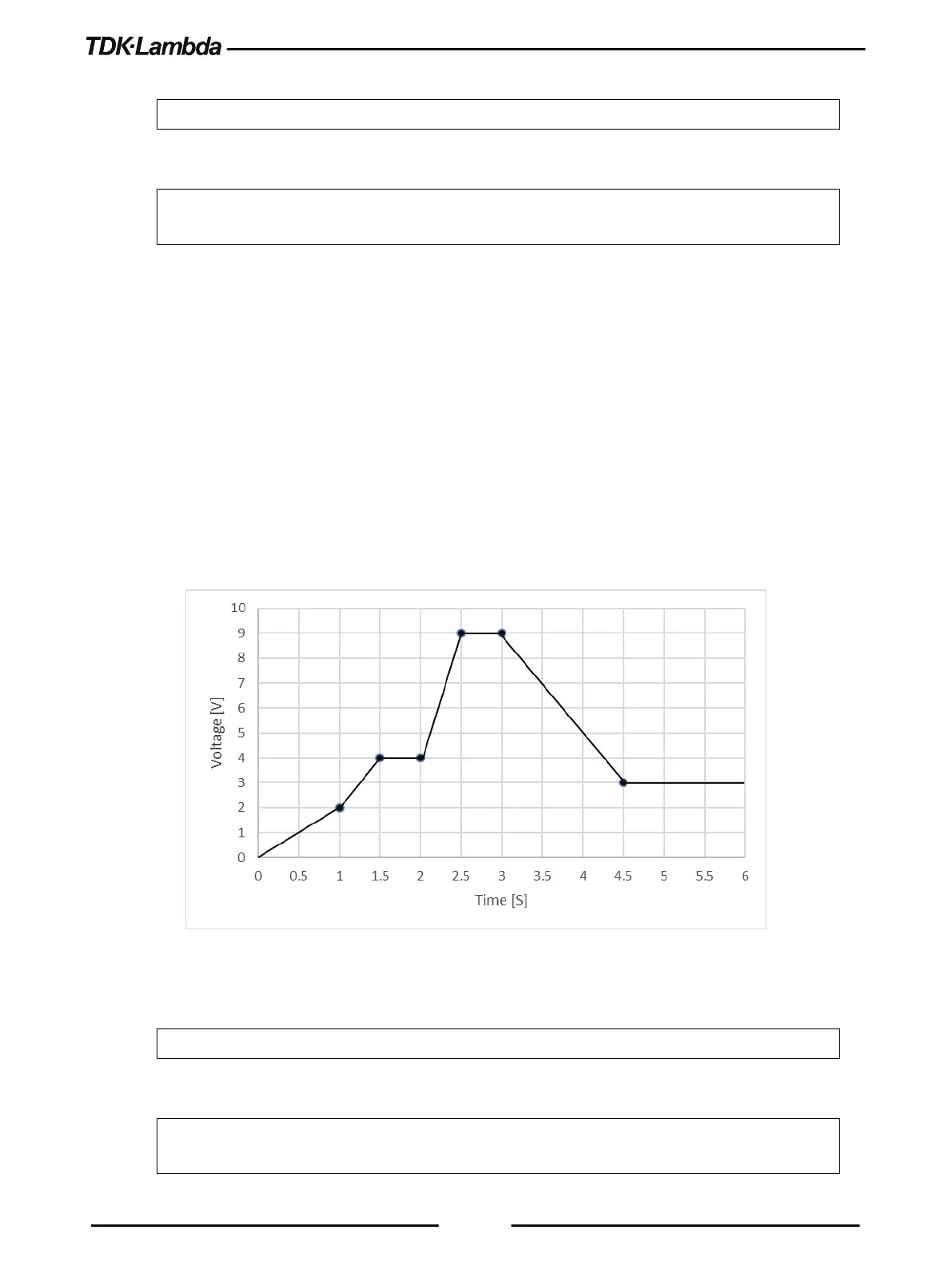
5.3.5 WAVE Mode Example
VOLT:MODE WAVE
Select Sequence Mode
WAVE:VOLT 2,4,4,9,9,3,3
Set voltage values ”2,4,4,9,9,3,3” Volts
WAVE:TIME 1,0.5,0.5,0.5,0.5,1.5,1.5
Set time values ”1,0.5,0.5,0.5,0.5,1.5,1.5” Seconds
STEP AUTO
Set AUTO step execution mode ”AUTO”
COUN 1
Set wave execution iterations ”1”
TRIG:SOUR BUS Select BUS trigger source via communication
interface or front panel
INIT:CONT OFF
Trigger system is enabled for a single trigger action
INIT
Trigger initialize
*TRG
Trigger command
Figure 5–6: WAVE Mode Example
NOTE
Start condition: Assume power supply output is on; Initial voltage point is 0 Volts.
NOTE
Arbitrary waveforms can be easily created by using the Waveform Creator application available on
TDK-Lambda Web-Site. Refer to Quick Start Guide documentation on TDK-Lambda Web-Site.

Table of Contents

Other manuals for TDK-Lambda GH10-150

Related product manuals