EasyManua.ls Logo

Topcon SP-3000P - Radiation Hazard and Ratings; Optical Radiation Hazard Information; Electrical Rating Details

Topcon SP-3000P
79 pages
Print Icon
To Next Page IconTo Next Page
To Next Page IconTo Next Page
To Previous Page IconTo Previous Page
To Previous Page IconTo Previous Page
Loading...
64
SPECIFICATIONS & PERFORMANCE
Information about the optical radiation hazard for the user
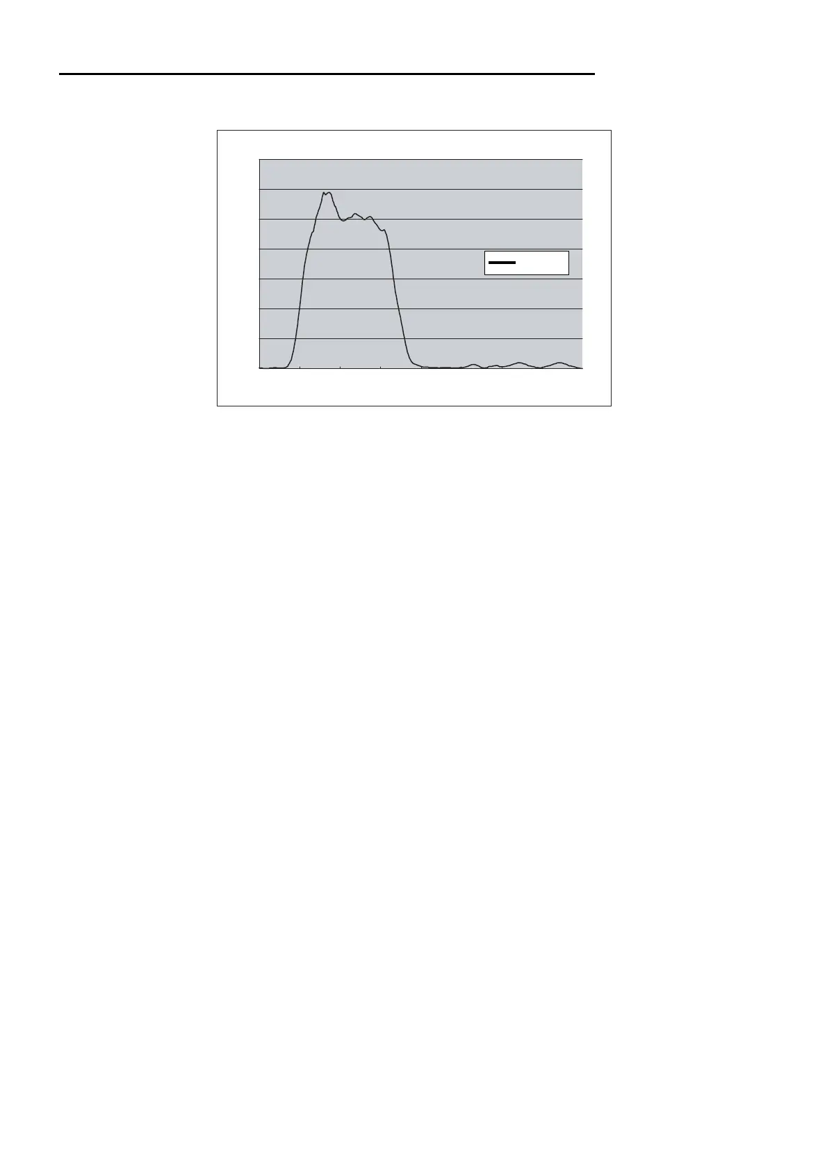
Relative spectral output of this instrument
Photochemical light source radiance of this instrument
LA (without crystalline lens) : 3894 mW/(cm
2
·sr)
L
B (with crystalline lens) : 3051 mW/(cm
2
·sr)
Meaning of L
A and LB
The radiance LB/LA means the radiance given to retina. If large radiance exists, it is probable that there is
radiant flux, which will cause a photochemical hazard. L
B is the value for the eye with crystalline lens. LA is
the value with the weighted spectrum for the eye without crystalline lens (which is not substituted with the
UV-cut lens) and the baby's eye. The above-mentioned radiance is the value obtained when the oph-
thalmic optical equipment is used with maximum strength and maximum diameter. When L
B or LA is
80mW/(cm
2
·sr) or more, it is probable that a photochemical hazard will be caused for the mydriatic eye.
Retina irradiation quantity is the product of the radiance and the irradiation time. For example, the recom-
mended irradiation limit is the retina irradiation quantity calculated when an optical equipment irradiates the
eye of its pupil diameter 8mm with radiance of 80mW/(cm
2
·sr) for 3 minutes. If the radiance is reduced to
40mW/(cm
2
·sr), 6 minutes are required to reach the recommended irradiation limit. The recommended
irradiation quantity is based on the calculation mentioned in the "Limits of chemical materials and medi-
cines" document (edition of 1995-1996) of ACCIH (the industrial health specialists council of U. S. A.).
1. This instrument performs flash photography with a xenon lamp. Its lighting time is very short, 3
msec. When calculation is done with the recommended irradiation limit (80mW/(cm
2
·sr) for 3 min-
utes), the irradiation quantity on the eye fundus is 2376mJ/cm
2
. The irradiation quantity of this
instrument is approx. 2mJ/cm
2
. This is a very low value compared with the recommended irradiation
limit. So the risk for the photochemical light source radiance is very low in this instrument.
2. In this instrument, an acute optical radiation hazard has not been recognized. It is recommended to
limit the strength of beam, which is emitted into the patient's eye, to the minimum level required for
photography. Risk is increased regarding babies, the persons having the eyes without crystalline
lens or the persons with ocular pathology. If one person, who has taken an inspection, receives the
irradiation from the visible light source through the same instrument or other ophthalmic optical
instrument within 24 hours since the last inspection, risk will be increased.
0.035
0.03
0.025
0.02
0.015
0.01
0.005
0
300
400
500
600
700
800
900
1000
1100
Xenon lamp spectral distribution
Relative rays
Wavelength (nm)
Xenon

Table of Contents

Related product manuals