EasyManua.ls Logo

Topwisdom TL-A1 - Page 15

Default Icon
72 pages
Print Icon
To Next Page IconTo Next Page
To Next Page IconTo Next Page
To Previous Page IconTo Previous Page
To Previous Page IconTo Previous Page
Loading...
泰智科技
Shenzhen Topwisdom Technology Co., Ltd
9
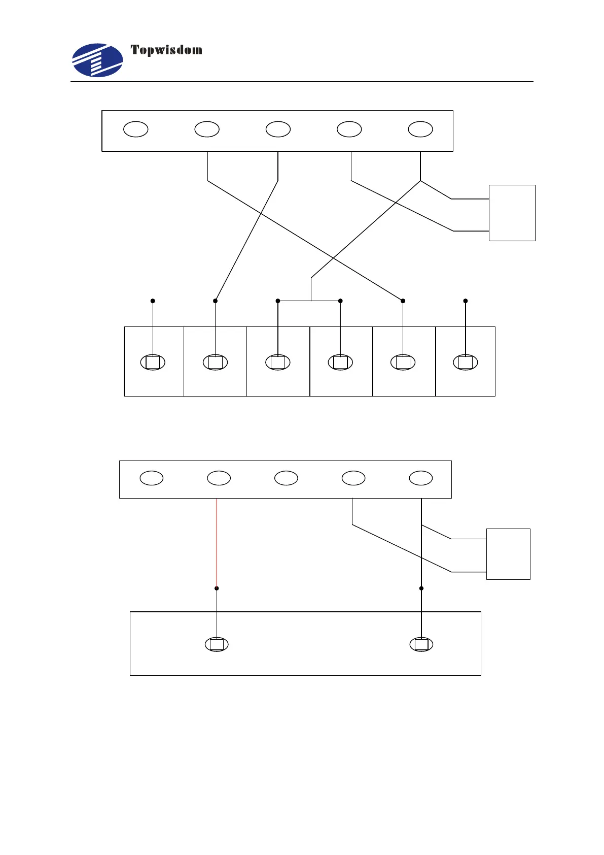
TH TL WP GND
1 3 4 5 62
Laser
Power
Supply
Active Low
LPWM L-ON WP GND
IN
5V
Water
Potect
+5V
2. RF Laser Wiring
Power
Laser
Power
Supply
GND
Water
Potect
LPWM L-ON WP GND+5V
NoteWhen "RF or RF (Pre-ignition)" is selected, please set the PWM Frequency
according to the data sheet of the laser. Generally, PWM Frequency is 5000Hz. And set
the Laser Max parameter not larger than 95%, especially not to set as 100%, otherwise
it works improperly.

Related product manuals