EasyManua.ls Logo

Tuttnauer EA - Pressure Door Lock System

Tuttnauer EA
72 pages
Print Icon
To Next Page IconTo Next Page
To Next Page IconTo Next Page
To Previous Page IconTo Previous Page
To Previous Page IconTo Previous Page
Loading...
De
|
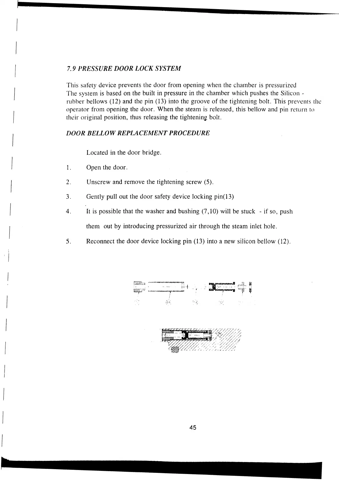
7.9
PRESSURE
DOOR
LOCK
SYSTEM
This
satety
device
prevents
the
door
from
opening
when
the
chamber
is
pressurized
|
The
system
is
based
on
the
built
in
pressure
in
the
chamber
which
pushes
the
Silicon
-
rubber
bellows
(12)
and
the
pin
(13)
into
the
groove
of
the
tightening
bolt.
This
prevents
the
operator
from
opening
the
door.
When
the
steam
is
released,
this
bellow
and
pin
return
to
|
their
original
position,
thus
releasing
the
tightening
bolt.
DOOR
BELLOW
REPLACEMENT
PROCEDURE
Located
in
the
door
bridge.
|
1
.
Open
the
door.
|
2.
Unscrew
and
remove
the
tightening
screw
(5).
3.
Gently
pull
out
the
door
safety
device
locking
pin(13)
|
4.
I
is
possible
that
the
washer
and
bushing
(7,10)
will
be
stuck
-
if
so,
push
them
out
by
introducing pressurized
air
through
the
steam
inlet
hole.
5.
Reconnect
the
door
device
locking
pin
(13)
into
a
new
silicon
bellow
(12).
|
~
o”
u
co
+
ee
uj
liga”
ia
4 à
|
D.
νεος
“ANN
^
*
e
/
ds
Y
ии
^
1
и
イイ
ーッ

Related product manuals