EasyManua.ls Logo

Tuttnauer EA - List of Spare Parts

Tuttnauer EA
72 pages
Print Icon
To Next Page IconTo Next Page
To Next Page IconTo Next Page
To Previous Page IconTo Previous Page
To Previous Page IconTo Previous Page
Loading...
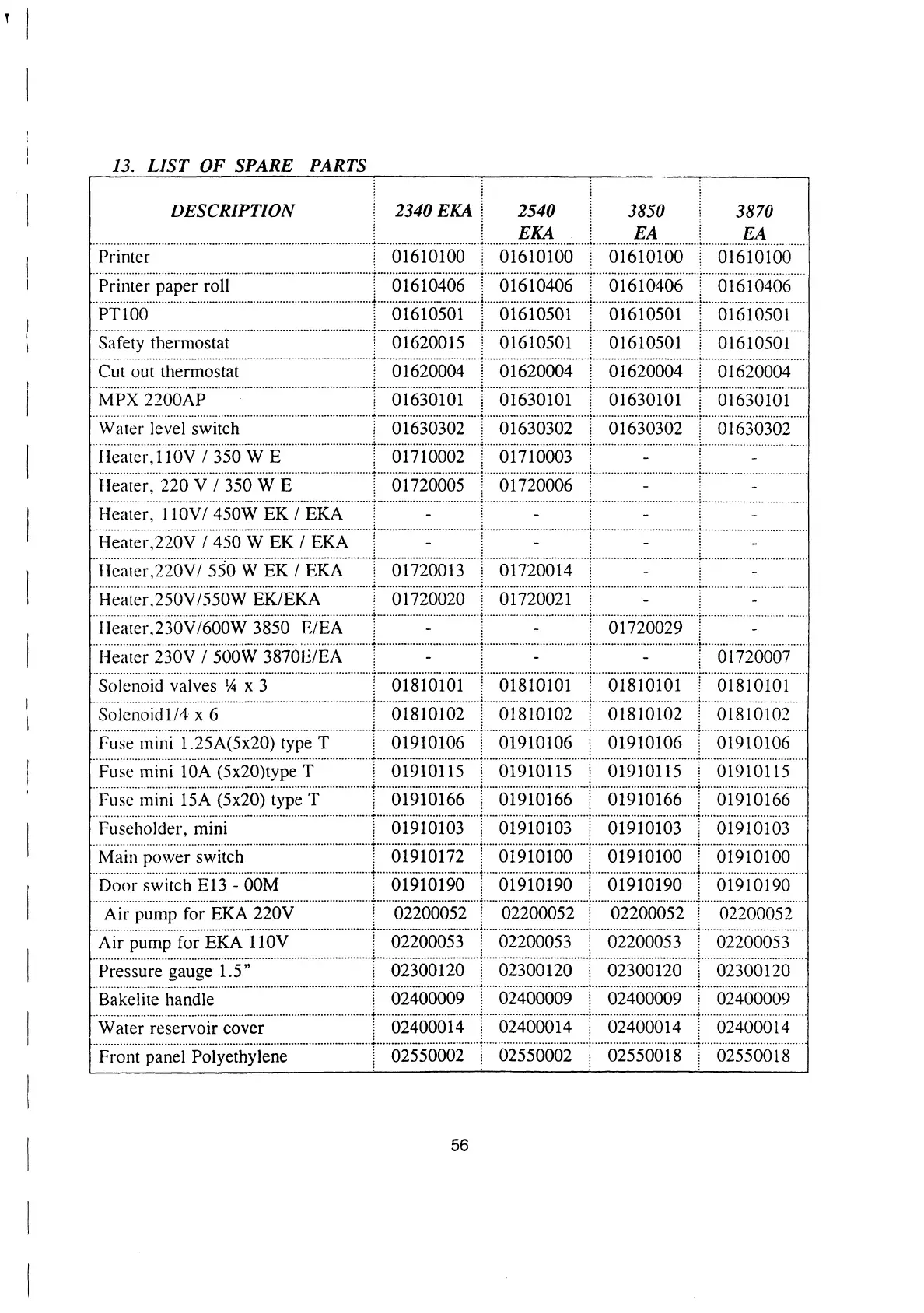
13.
LIST
OF
SPARE
PARTS
DESCRIPTION
2340
EKA
2540
3850
3870
M
EKA
.
EA
EA
|.
Printer
01610100
:
01610100
:
01610100
:
01610100
|
Printer
paper
roll
01610406
:
01610406
:
01610406
01610406
|
|
PT100
01610501
i
01610501
i
01610501
i
01610501
Safety
thermostat
01620015
i
01610501
i
01610501
i
01610501
|
Cut
out
thermostat
01620004
i
01620004
:
01620004
i
01620004
|
MPX
2200AP
01630101
:
01630101
:
01630101
:
01630101
|
Water
level
switch
01630302
i
01630302
i
01630302
i
01630302
|
Heater,110V
/
350
W
E
01710002
:
01710003
-
ーー
|
Heater,
220
V
/
350
W
E
01720005
i
01720006
-
ーー
Heater,
110V/
450W
EK
/
EKA
-
-
2
ーー
|
Heater,220V
/
450
W
EK
/
EKA
-
-
-
-
|
TIcater,220V/
550
W
EK
/
EKA
01720013
i
01720014
-
a
Heater,250V/550W
EK/EKA
01720020
:
01720021
od
ο.
|
Ileater,230V/600W
3850
E/EA
-
-
01720029
-
|
Heater
230V
/
500W
3870E/EA
- -
-
01720007
Solenoid
valves
4
x
3
01810101
01810101
:
01810101
:
01810101
|
Solenoid1/4
x
6
01810102
:
01810102
|
01810102
|
01810102
-
Fuse
mini
1.25A(5x20)
type
T
01910106
:
01910106
i
01910106
|
01910106
Fuse
mini
10A
(5x20)type
T
01910115
i
01910115
:
01910115
:
01910115
|
Fuse
mini
15A
(5x20)
type
T
01910166 : 01910166
i
01910166
i
01910166
Fuseholder,
mini
01910103
|
01910103
: 01910103 :
01910103
|
Main
power
switch
01910172
:
01910100
:
01910100
|
01910100
©
|
Door
switch
E13
-
00M
01910190
i
01910190
i
01910190
:
01910190
.
|
Air
pump
for
EKA
220V
02200052
i
02200052
|
02200052
i
02200052
|
Air
pump
for
EKA
110V
02200053
i
02200053
i
02200053
i
02200053
Pressure
gauge
1.5”
02300120 02300120
02300120
02300120
|
Bakelite
handle
02400009
i
02400009
:
02400009
i
02400009
Water
reservoir
cover
02400014
02400014
02400014
02400014
|
Front
panel
Polyethylene
02550002
:
02550002
|
02550018
:
02550018
|
56

Related product manuals