EasyManua.ls Logo

Universal Robots UR10e PolyScope X - Page 95

Universal Robots UR10e PolyScope X
162 pages
Print Icon
To Next Page IconTo Next Page
To Next Page IconTo Next Page
To Previous Page IconTo Previous Page
To Previous Page IconTo Previous Page
Loading...
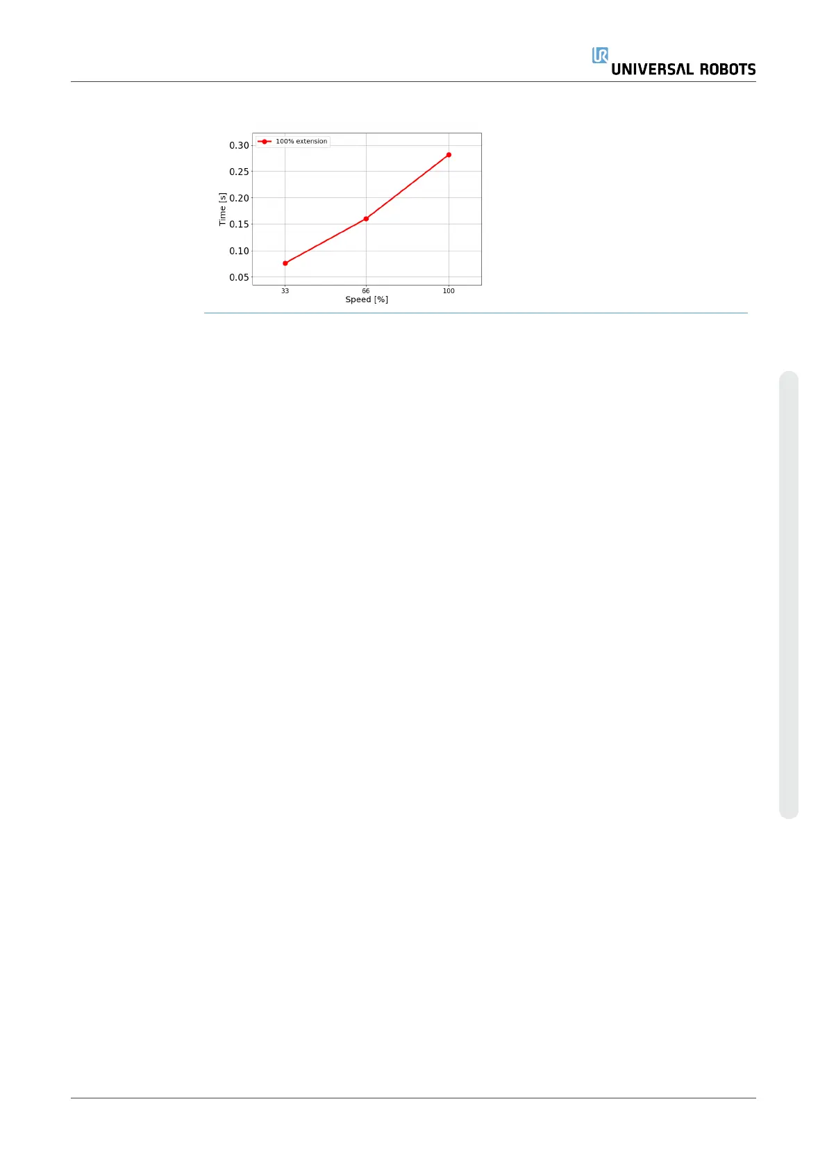
Stopping time in
seconds for
maximum payload
of 12.5kg
User Manual 95 UR10e PolyScope X
10.Stopping Time and Stopping Distance
Copyright © 2009–2024 by UniversalRobotsA/S. All rights reserved.

Table of Contents

Related product manuals