EasyManua.ls Logo

ABB ProcessMaster FEM631 - Page 50

ABB ProcessMaster FEM631
138 pages
Print Icon
To Next Page IconTo Next Page
To Next Page IconTo Next Page
To Previous Page IconTo Previous Page
To Previous Page IconTo Previous Page
Loading...
50
FEM630 | ELECTROMAGNETIC FLOWMETER | OI/FEM630-EN REV. A
6 ...Electrical connections
...Digital communication
Limits and rules when using ABB fieldbus accessories
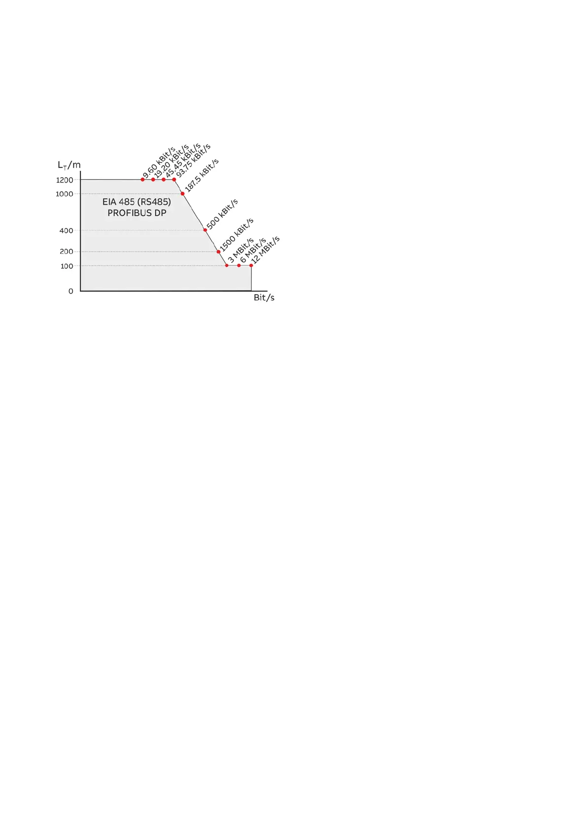
Figure 59 Bus cable length depends on the transmission rate
Pro PROFIBUS Line
(Line = Starts at DP Master and goes to last DP/PA Slave)
Approximately 4 to 8 DP segments through the repeater
(see repeater data sheets)
Recommended DP transfer rate 500 to 1500 kBit/s
The slowest DP node determines the transfer rate of the
DP line

0 to 125)
Per PROFIBUS DP segment

(Node = Devices with / without PROFIBUS address)
Bus termination required at the beginning and end of
each DP segment!
Trunk cable length (LT) see diagram (length dependent
on transfer rate)

1500 kBit/s!

1500 kBit/s: LS = 0.0”!
At 1500 kBit/s and ABB DP cable type A:


S

maximum 22 DP nodes (= 21.6 ft / (10” + 2” spare))

Table of Contents

Related product manuals