EasyManua.ls Logo

Acer Aspire E1-531 - Internal Speaker Failure

Acer Aspire E1-531
227 pages
Print Icon
To Next Page IconTo Next Page
To Next Page IconTo Next Page
To Previous Page IconTo Previous Page
To Previous Page IconTo Previous Page
Loading...
Troubleshooting 4-9
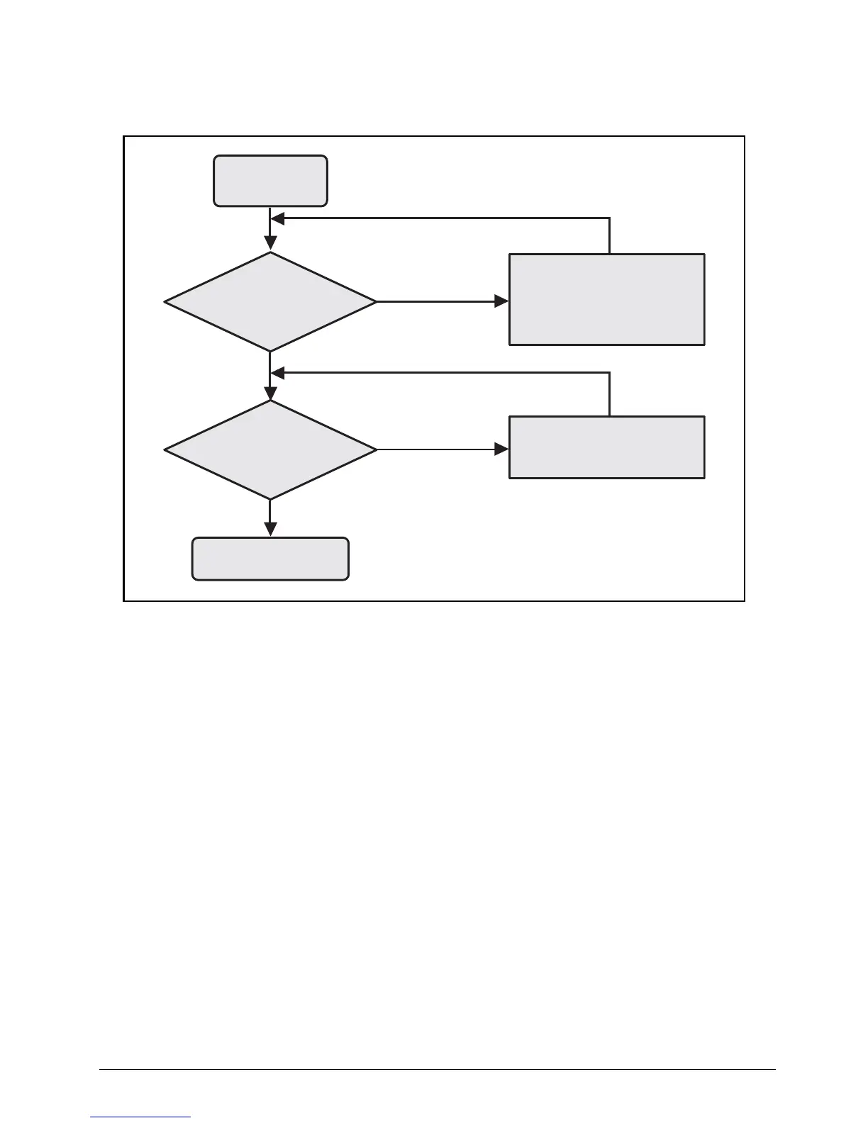
Internal Speaker Failure
If the internal speakers fail, perform the following:
Figure 4:6. Internal Speaker Failure
Sound Problems 0
Perform the following:
1. Boot the computer.
2. Navigate to Start > Control Panel > System and Maintenance > System > Device Manager.
Check the Device Manager to determine that:
The device is properly installed
There are no red Xs or yellow exclamation marks
There are no device conflicts
No hardware is listed under Other Devices
3. If updated recently, roll back the audio driver to the previous version.
4. Remove and reinstall the audio driver.
5. Make sure that all volume controls are set mid range:
Click the volume icon on the taskbar
Drag the slider to 50. Confirm that the volume is not muted.
Click Mixer to verify that other audio applications are set to 50 and not muted.
Start
Swap M/B
Check M/B
SPK cable
Check Logic
lower
Re-assemble the
SPK cable to M/B
OK
NG
Swap Logic lower
OK
OK
NG

Table of Contents

Related product manuals