EasyManua.ls Logo

Acer Aspire E1-531 - 4-In-1 Card Function Failure

Acer Aspire E1-531
227 pages
Print Icon
To Next Page IconTo Next Page
To Next Page IconTo Next Page
To Previous Page IconTo Previous Page
To Previous Page IconTo Previous Page
Loading...
Troubleshooting 4-15
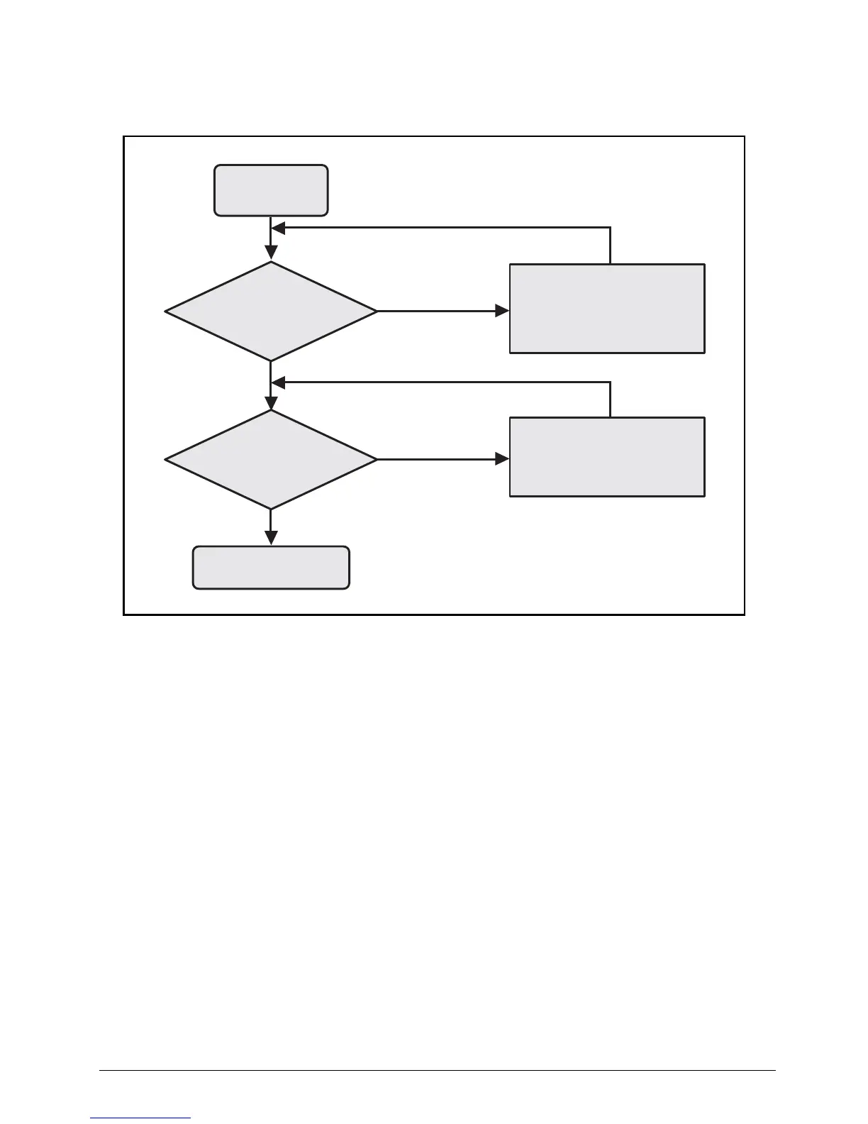
4-in-1 Card Function Failure
If the 4-in-1 card function fails, perform the following:
Figure 4:11. 4-in-1 Card Function Failure
Start
Swap M/B
Card read
conn well
solder
Card read
Chip ok
Repair the
Card read
conn
OK
NG
Swap M/B
card read Chip
OK
OK
NG

Table of Contents

Related product manuals