EasyManua.ls Logo

BAS 100B/W - Page 104

Default Icon
144 pages
Print Icon
To Next Page IconTo Next Page
To Next Page IconTo Next Page
To Previous Page IconTo Previous Page
To Previous Page IconTo Previous Page
Loading...
10-36
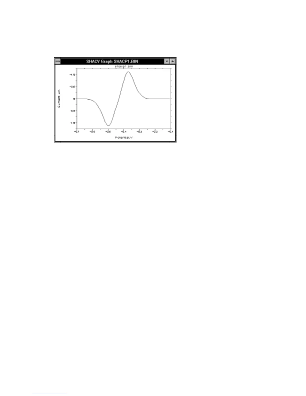
measure the redox potentials of species that react rapidly when electrolyzed. A
typical current response for
SHACV/P
is shown in Figure 10-22.
Figure 10-22.
Second harmonic A.C. current response for
SHACV/P
.
General Parameters for ACV/P, PSACV/P, SHACV/P
Initial E (mV) = 0 -3276 to 3276
Final E (mV) = 0 -3276 to 3276
Sensitivity = 1
µ
A/V 100 mA/V to 100 nA/V (10 pA/V with the
Low Current Module)
Specific Parameters for ACV/P, PSACV/P, SHACV/P
Scan Rate (mV/sec) = 4 1 to 200
A.C. Amplitude (mV) = 25 1 to 250
A.C. Frequency (Hz) = 50 5 to 250
Drop Time (msec) = 1500 500 to 8000
Quiet Time (sec) = 2 (0) 0 to 65535
Specific Parameters for PSACV/P, SHACV/P
Phase Shift (degree) = 0,110 0 to 360
Comments
a)
Drop Time
is used for
ACP
,
PSACP
and
SHACP
. The range of values
allowed for the
Drop Time
depends on the
A.C. Frequency
. The analogous
parameter for
ACV
,
PSACV
and
SHACV
is the
Step Period
, which is
controlled by the
A.C. Frequency
(default value is 1500 msec).
b) Parameters values in parentheses refer to
ACP
,
PSACP
and
SHACP
.
c) The
Phase Shift
is the phase angle relative to the applied A.C. potential used
for lock-in detection of the A.C. current. The
Phase Shift
resolution is 2, 5,
or 10 degrees (the lower the
A.C. Frequency
, the better the resolution).

Table of Contents

Related product manuals