EasyManua.ls Logo

BIRD FlightHawk - Match Measurement

BIRD FlightHawk
130 pages
Print Icon
To Next Page IconTo Next Page
To Next Page IconTo Next Page
To Previous Page IconTo Previous Page
To Previous Page IconTo Previous Page
Loading...
FlightHawk RF Test Set
86
Match Measurement
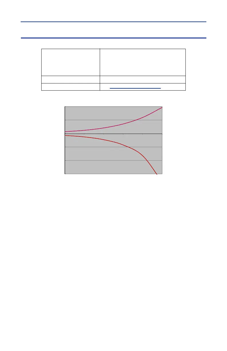
Figure 74 Match Measure Uncertainty
Measurement Range:
Return Loss
Rho ()
VSWR
0 to 23 dB
0.07 to 1.0
1.15 to 99.9
Forward Power, Min 0.05 W
Measurement Uncert. See
Figure 74 on page 86
.
-6
-4
-2
0
2
4
-25 -20 -15 -10 -5 0
Uncertainty(dB)
Return Loss

Table of Contents

Related product manuals