EasyManua.ls Logo

DSE DSE8610 - Page 99

DSE DSE8610
119 pages
Print Icon
To Next Page IconTo Next Page
To Next Page IconTo Next Page
To Previous Page IconTo Previous Page
To Previous Page IconTo Previous Page
Loading...
Protections
99
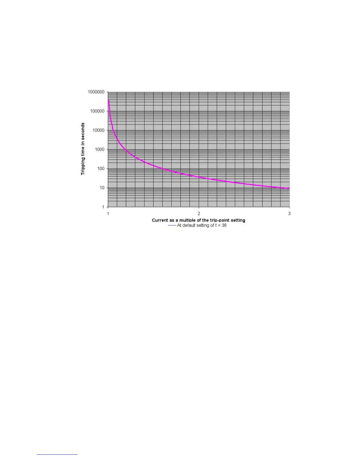
With typical settings as above, the tripping curve is followed as shown below.
This allows for overload of the set to the limits of the Typical Brushless Alternator whereby 110% overload is
permitted for 1 hour.
If the set load reduces, the controller then follows a cooling curve. This means that a second overload condition
may trip much sooner than the first as the controller knows if the windings have not cooled sufficiently.
For further details on the Thermal damage curve of your alternator, you are referred to your alternator
manufacturer and generator supplier.
CALL US TODAY
1-888-POWER-58
REQUEST A QUOTE
parts@genpowerusa.com
SHOP ONLINE
www.genpowerusa.com

Table of Contents

Related product manuals