EasyManua.ls Logo

ERS AirCool plus - System Restrictions; Temperature-Time Diagram

Default Icon
55 pages
Print Icon
To Next Page IconTo Next Page
To Next Page IconTo Next Page
To Previous Page IconTo Previous Page
To Previous Page IconTo Previous Page
Loading...
ERS
®
Manual / AirCool
®
plus
-System / SP72_TA1C8 / -55°C +200°C / Ver. 02.02 12
3.4 System restrictions
ÿ At intial operation of the whole system (chucksystem and probe station) this whole
system has to be purged with dry air for a minimum time period of 24 hours.
Therefor please close all covers of the probeshield and let the AirCool
®
plus
Chuck System operate at +25°C set temperature.
This procedure is evident of removing any huminidy inside the probe station and
should be repeated after any longer period of down time.
ÿ The dew point inside the probe station will degrade in case a testhead is
provided with fans and/or the probecard area is exposed to air draft (e.g. air-
condition system).
ÿ The dew point sensor has to be recalibrated yearly.
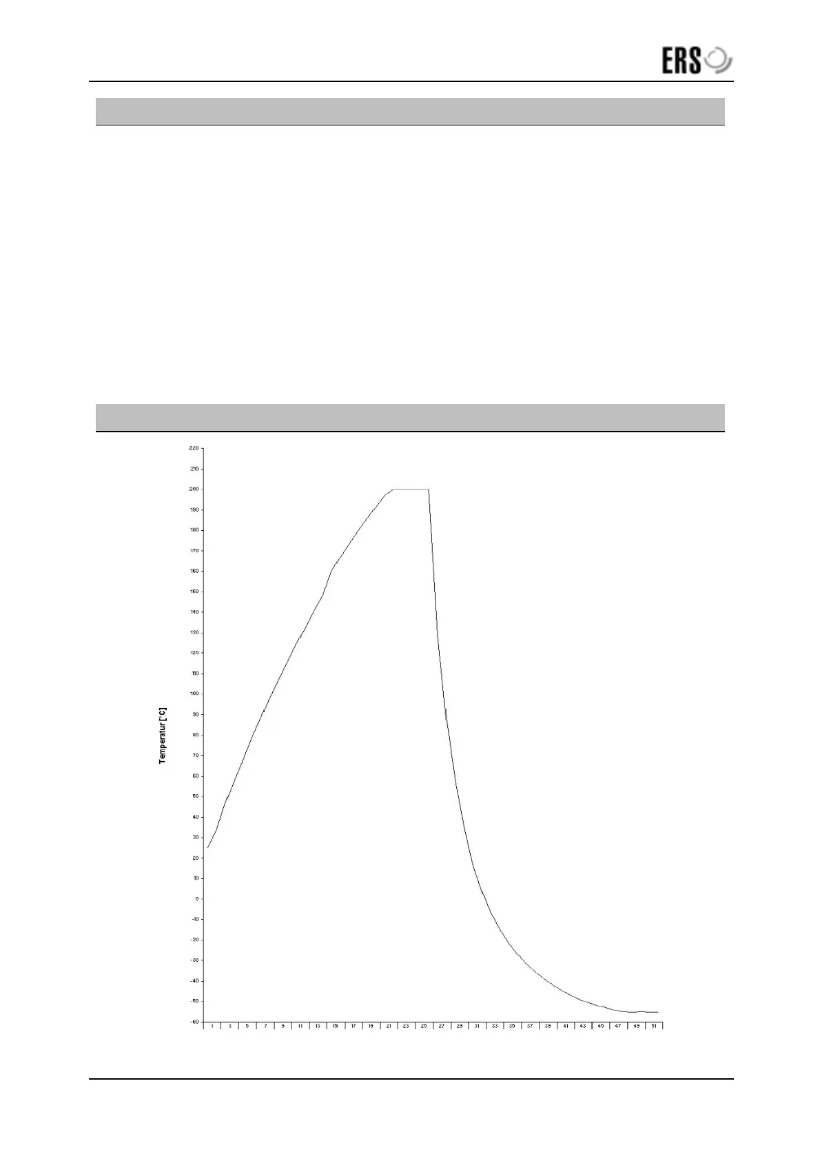
3.5 Temperature-Time diagram
Fig. 3.5a Heating/Cooling curve

Table of Contents