EasyManua.ls Logo

Galil Motion Control DMC-4123 - Page 87

Galil Motion Control DMC-4123
237 pages
Print Icon
To Next Page IconTo Next Page
To Next Page IconTo Next Page
To Previous Page IconTo Previous Page
To Previous Page IconTo Previous Page
Loading...
INSTRUCTION INTERPRETATION
#A;V1=0
Label; Initialize variable
PA 0,0;BGXY;AMXY
Go to position 0,0 on X and Y axes
EA Z
Z axis as the Master for ECAM
EM 0,0,4000
Change for Z is 4000, zero for X, Y
EP400,0
ECAM interval is 400 counts with zero start
ET[0]=0,0
When master is at 0 position; 1
st
point.
ET[1]=0,0
2
nd
point in the ECAM table
ET[2]=120,60
3
rd
point in the ECAM table
ET[3]=240,120
4
th
point in the ECAM table
ET[4]=360,180
5
th
point in the ECAM table
ET[5]=360,180
6
th
point in the ECAM table
ET[6]=360,180
7
th
point in the ECAM table
ET[7]=240,120
8
th
point in the ECAM table
ET[8]=120,60
9
th
point in the ECAM table
ET[9]=0,0
10
th
point in the ECAM table
ET[10]=0,0
Starting point for next cycle
EB 1
Enable ECAM mode
JGZ=4000
Set Z to jog at 4000
EG 0,0
Engage both X and Y when Master = 0
BGZ
Begin jog on Z axis
#LOOP;JP#LOOP,V1=0
Loop until the variable is set
EQ2000,2000
Disengage X and Y when Master = 2000
MF,, 2000
Wait until the Master goes to 2000
ST Z
Stop the Z axis motion
EB 0
Exit the ECAM mode
EN
End of the program
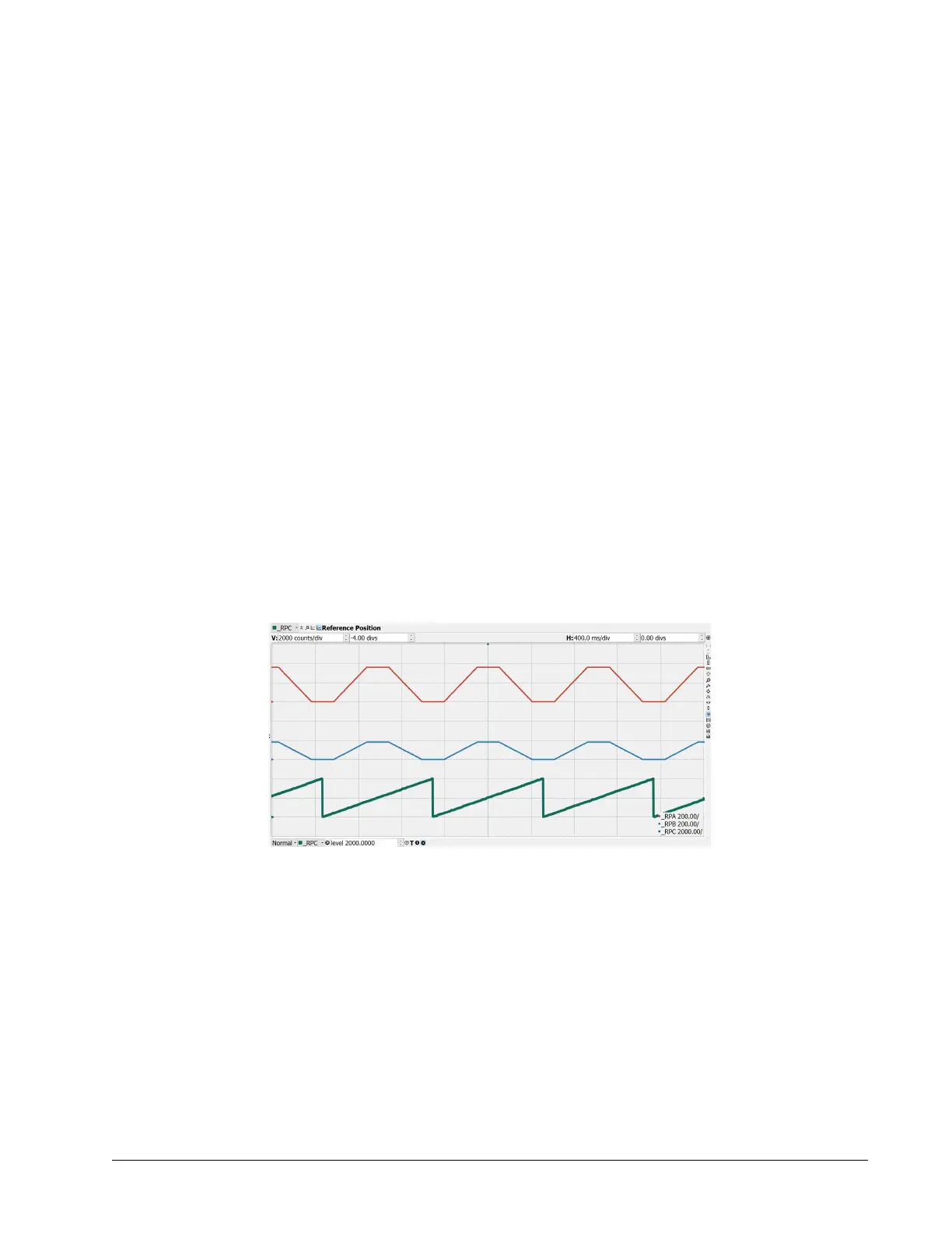
The above example shows how the ECAM program is structured and how the commands can be given to the
controller. Figure 6.14 shows the GDK scope capture of the ECAM profile. This shows how the motion will be seen
during the ECAM cycles. The first trace is for the A axis, the second trace shows the cycle on the B axis and the
third trace shows the cycle of the C axis.
Chapter 6 Programming Motion ▫ 81 DMC-41x3 User Manual
Figure 6.14: ECAM cycle with Z axis as master

Table of Contents

Related product manuals