EasyManua.ls Logo

Gorgy Timing LEDI NETWORK iTS - 1.3.4. The Ledi Network ITS;DCLS;NTP Server Time Base

Gorgy Timing LEDI NETWORK iTS
Print Icon
To Next Page IconTo Next Page
To Next Page IconTo Next Page
To Previous Page IconTo Previous Page
To Previous Page IconTo Previous Page
Loading...
78
MDE-LEDInetworkITS-server-4078V1.3
2. FULL SETUP

At any time, the NTP software can enter this state if it doesn’t receive a correct date or the
PPS from the hardware and cannot guarantee a good accuracy on its internal clock.
Autonomous
When there is no time code at the input and that the LEDI Network ITS/DCLS/NTP
Server can guarantee a good accuracy.

When the NTP software enters this state, it doesn’t reply to clients’ requests.
The software enters this state when it detects a large phase difference that will
overlap the security threshold value or when the user manually locks the server.
In This state, the device continues on its own time base until the date becomes
lower than the threshold value again, or until a reboot.

The NTP server run without using the time source code. This mode is useful for test
procedure when no time source is available, but the time stability is dependant of
the quartz present on hardware.

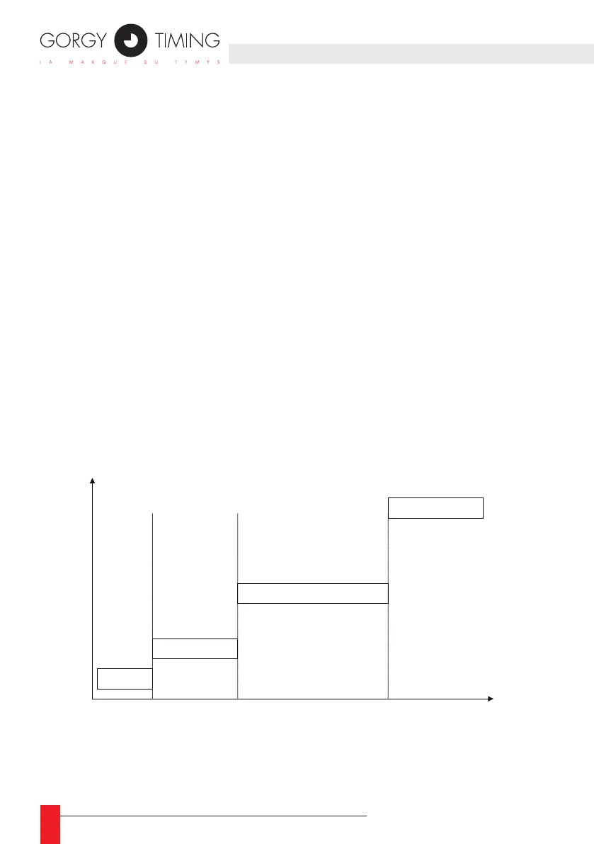
The core of the time base is an high accurate OCXO (see Appendix E – Data ). The
mechanism to adjust the clock of the time base with the synchronization input depends
on the time difference between the input clock and the time base clock (clocks) .
For example whether clocks is inferior to 1µs, the algorithm increase or decrease the
frequency of the clock time base by 0,02µs/s step.
In event of clocks is superior to 1ms (1000µs), the step is 1000µs/s.
clocks (µs)
0 1 50 1000
Step (µs/s)
0 ,02µs/s
0,1µs/s
50µs/s
1000µs/s

Table of Contents