EasyManua.ls Logo

Intel 8080 - B4_Page_41

Intel 8080
224 pages
Print Icon
To Next Page IconTo Next Page
To Next Page IconTo Next Page
To Previous Page IconTo Previous Page
To Previous Page IconTo Previous Page
Loading...
Chapter
7.
Interrupts
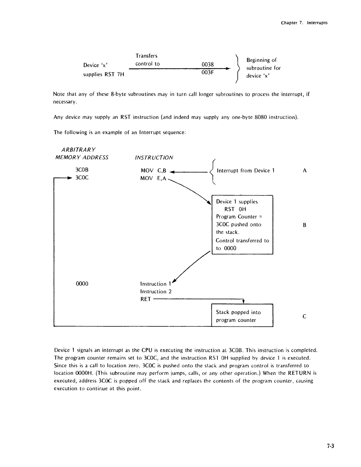
Transfers
}
Beginning
of
Device
'x'
control
to
0038
..
subroutine
for
supplies
RST 7H
003F
device
'x'
Note
that
any
of
these
8-byte
subroutines
may
in
turn
call longer
subroutines
to
process
the
interrupt,
if
necessary.
Any device
may
supply
an RST
instruction
(and
indeed may supply
anyone-byte
8080
instruction).
The following
is
an
example
of
an
Interrupt
sequence:
ARBITRARY
MEMORY
ADDRESS
3COB
3COC
0000
INSTRUCTION
:~~
~:!
~
{,n"""Pt
'<om
0";,,
,
Device 1 supplies
In","";on
,/
RST
OH
Program
Counter
:::
3COC
pushed
onto
the stack.
Control
transferred
to
to
0000
Instruction
2
RET-----------------------.,
Stack
popped
into
program
counter
A
B
C
Device 1
signals an
interrupt
as
the
CPU
is
executing
the
instruction
at
3COB. This
imtruction
is
completed.
The
program
counter
remains
set
to
3COC,
and
the
instruction
RST
OH
supplied by device 1
is
executed.
Since this
is
a call
to
location
zero,
3COC
is
pushed
onto
the
stack
and program
control
is
transferred
to
location
ooOOH. (This
subroutine
may
perform
jumps, calls,
or
any
other
operation.)
When the
RETURN
is
executed,
address 3COC
is
popped
off
the
stack
and replaces the
contents
of
the program
counter,
causing
execution
to
contir.ue
at
this
point.
7·3

Table of Contents

Related product manuals