EasyManua.ls Logo

Keithley 2002 - Filter

Keithley 2002
95 pages
Print Icon
To Next Page IconTo Next Page
To Next Page IconTo Next Page
To Previous Page IconTo Previous Page
To Previous Page IconTo Previous Page
Loading...
DC CURRENT UNCERTAINTY
= ± [ (ppm reading)
×
(measured value) + (ppm of range)
×
(range used) ] / 1,000,000.
% ACCURACY
= (ppm accuracy) / 10,000.
5PPM OF RANGE
= 10 counts at 6
½
digits.
DC IN-CIRCUIT CURRENT
The DC in-circuit current measurement function allows a user to measure the current through a wire or a circuit board trace without breaking the
circuit.
When the In-Circuit Current Measurement function is selected, the 2002 will first perform a 4-wire resistance measurement, then a voltage mea-
surement, and will display the calculated current.
TYPICAL RANGES:
Current:
100µA to 12A.
Trace Resistance:
1m
to 10
.
Voltage:
±200mV max. across trace.
Speed:
4 measurements/second at 1 power line cycle.
Accuracy:
±(5% +500µA). For 1 power line cycle, autozero on, 10-
reading digital filter, T
CAL
±5°C, 90 days, 1 year or 2 years.
AC AMPS
ACI ACCURACY
1,2
90 Days, 1 Year or 2 Years, T
CAL
±5°C, for 5% to 100% of range, ±(% of reading + % of range)
RANGE 20Hz–50Hz 50Hz–200Hz 200Hz–1kHz 1kHz–10kHz 10kHz–30kHz
3
30kHz–50kHz
3
50kHz–100kHz
3
200 µA 0.35 + 0.015 0.2 + 0.015 0.4 + 0.015 0.5 + 0.015
2 mA 0.3 + 0.015 0.15 + 0.015 0.12 + 0.015 0.12 + 0.015 0.25 + 0.015 0.3 + 0.015 0.5 + 0.015
20 mA 0.3 + 0.015 0.15 + 0.015 0.12 + 0.015 0.12 + 0.015 0.25 + 0.015 0.3 + 0.015 0.5 + 0.015
200 mA 0.3 + 0.015 0.15 + 0.015 0.12 + 0.015 0.15 + 0.015 0.5 + 0.015 1 + 0.015 3 + 0.015
2 A 0.35 + 0.015 0.2 + 0.015 0.3 + 0.015 0.45 + 0.015 1.5 + 0.015 4 + 0.015
1. Specifications apply for sinewave input, AC+DC coupling, 1 power line cycle, autozero on, digital filter off, following 55-minute warm-up.
2. Add 0.005% of range uncertainty for current above 0.5A rms for self-heating.
3. Typical values.
AC CURRENT UNCERTAINTY
= ±[ (% of reading) × (measured value) + (% of range) × (range used) ] / 100.
PPM ACCURACY = (% accuracy) × 10,000.
0.015% OF RANGE = 30 counts at 5½ digits.
FREQUENCY COUNTER
FREQUENCY/PERIOD INPUT CHARACTERISTICS AND ACCURACY 90 Days, 1 Year or 2 Years
MINIMUM SIGNAL LEVEL
2
ACCURACY
FREQUENCY PERIOD RESO- 1HZ– MAXIMUM TRIGGER ±(% of
RANGE
1
RANGE LUTION 1MHz 1–5MHz 5–15MHz INPUT LEVEL reading)
AC Voltage Input 1Hz–15 MHz 67 ns – 1 s 5 digits 60mV 60 mV 350 mV 1100 V pk
1
0–600V 0.03
AC Current Input 1Hz– 1 MHz 1 µs – 1 s 5 digits 150 µA 1 A pk 0–600mA 0.03
1. Subject to 2 × 10
7
V•Hz product (for inputs above 20V).
2. Valid for the lowest range. For each range increase, multiply these numbers by 10.
TIME BASE: 7.68MHz ± 0.01%, 0°C to 55°C.
READING TIME: 420ms maximum.
VOLTAGE INPUT IMPEDANCE: 1M ±2% with <140pF.
TRIGGER LEVEL ADJUSTMENT: Trigger level is adjustable in 0.5% of range steps to ±60% of range in real-time using the up and down
range buttons.
FREQUENCY RANGING: Autoranging from Hz to MHz.
FREQUENCY COUPLING: AC + DC or AC only.
Specs and Accessories 4-5
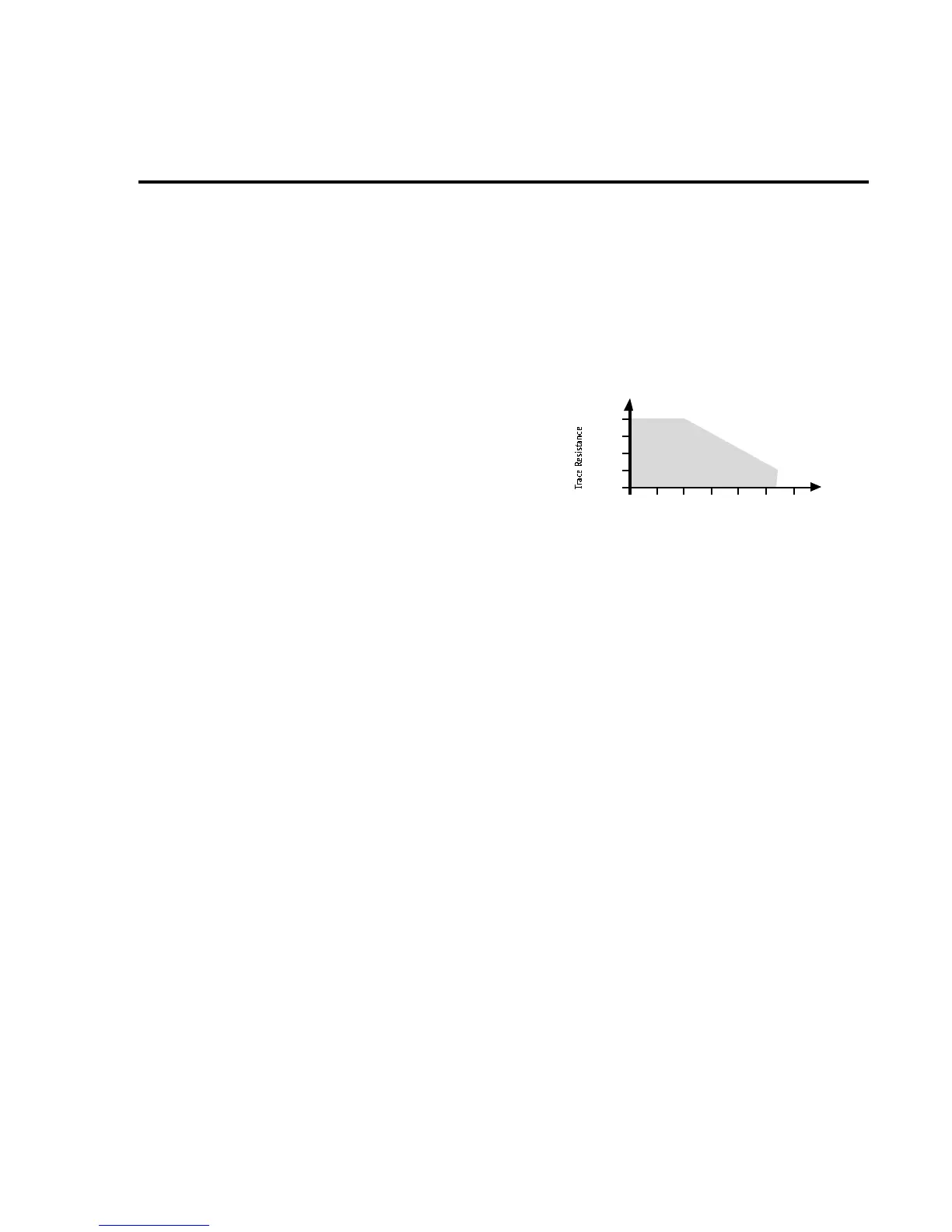
MEASUREMENT RANGE CHART
10
1
100m
10 m
1m
1mA 10mA100mA 1A 10 A 100A10 0 µA
Measured Current
Specified
Measurement
Range

Other manuals for Keithley 2002

Related product manuals