EasyManua.ls Logo

Lenze i510 Series

Lenze i510 Series
487 pages
To Next Page IconTo Next Page
To Next Page IconTo Next Page
To Previous Page IconTo Previous Page
To Previous Page IconTo Previous Page
Loading...
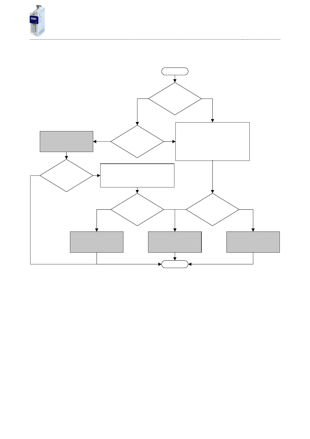
Performing opmisaon with engineering tool
The following ow diagram shows the opmisaon process with an engineering tool
(e. g. »EASY Starter«):
Yes
No Yes
Yes NoNo
No
NoYes
End
d)
Automatic motor calibration
(non-energized)
b)
Tuning of the motor
and the speed controller
c)
Automatic motor identification
(energized)
Set manually:
• Mechanical load and its coupling
to the motor
• Filter time for speed feedback
Set manually:
• Motor data (e.g. according to data
on the motor nameplate)
• Motor control type
• Mechanical load and its coupling
to the motor
• Filter time for speed feedback
Lenze motor
connected?
Identification
(energized)
possible?
Identification
(energized)
possible?
Engineering tool
available?
Adaptation of the
speed controller
required?
a)
Select motor from motor
catalogue
Start
Yes
a) No maer which opon suits you best, rst the relevant motor data must be set. By selecng the motor from the motor catalogue, you
benet from very accurate Motor equivalent circuit diagram data.
4Motor selecon from motor catalogue ^ 144
b) If you already have an opmised system, but the load adjustment has changed, it makes sense to just re-inialise the speed controller.
4Tuning of the motor and the speed controller ^ 145
c) If the applicaon enables you to energise the system during the opmisaon procedure, carry out an automac idencaon. This proce-
dure results in the best possible parameter sengs.
4Automac motor idencaon (energized) ^ 146
d) If the applicaon does not enable you to energise the system during the opmisaon procedure, carry out an automac calibraon.
4Automac motor calibraon (non-energized) ^ 147
Motor control
Opmisaon of the control loops
141

Table of Contents

Other manuals for Lenze i510 Series

Related product manuals