EasyManua.ls Logo

Motorola APX 2000 - Page 773

Motorola APX 2000
1096 pages
To Next Page IconTo Next Page
To Next Page IconTo Next Page
To Previous Page IconTo Previous Page
To Previous Page IconTo Previous Page
Loading...
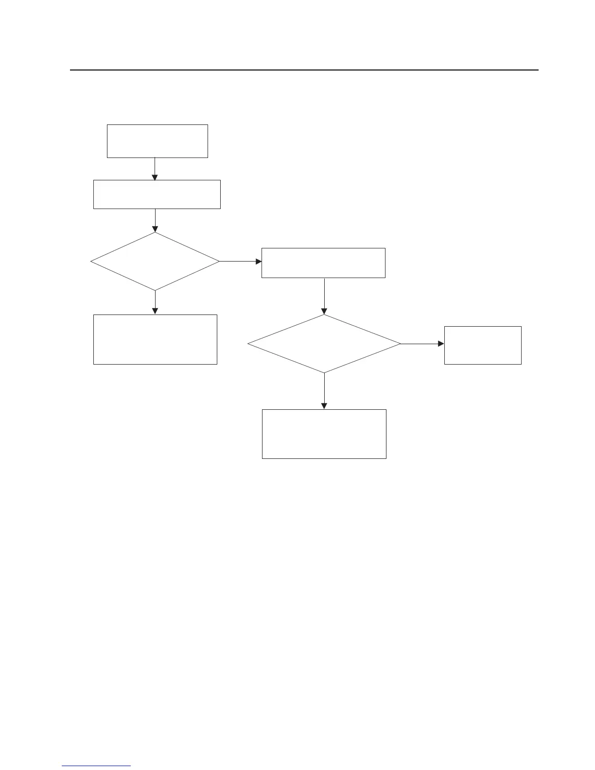
Troubleshooting Charts: DC Supply Failure 5-17
DC Supply 3 Volt Failure
Yes
Verify DC_LIN_3V at C208
Voltage = 3V?
Yes
No
Check voltage at C207
Voltage
3.6V?
Replace U201
No
Check for open in branch
to troubleshooting
section
Refer troubleshooting
guide 5.4.2 DC supply
3.6V
DC_LIN_3V

Table of Contents

Other manuals for Motorola APX 2000

Related product manuals